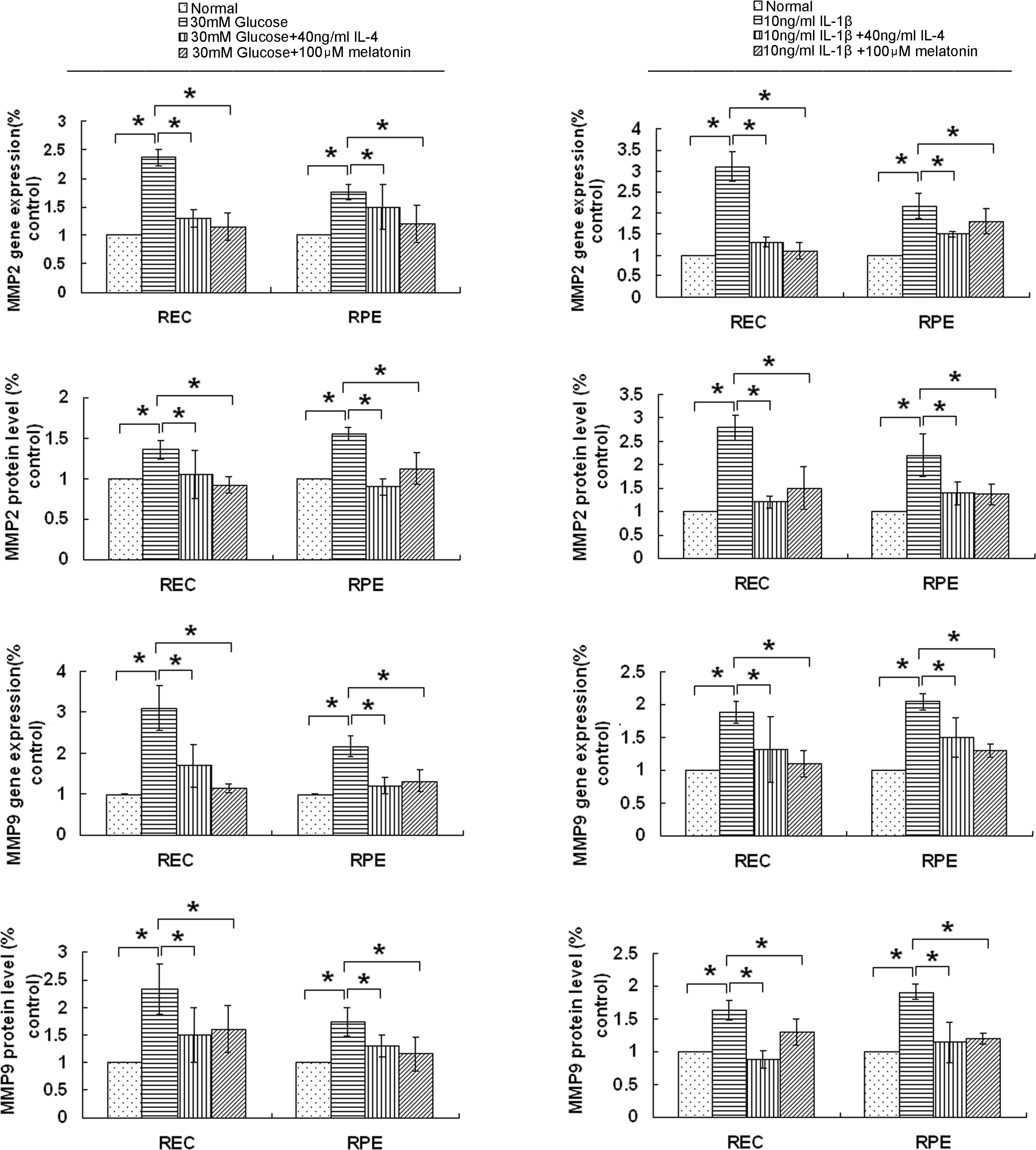
Figure 3. Interleukin-4 (IL-4) and melatonin downregulated the expression of matrix metalloproteinases 2 (MMP2) and matrix metalloproteinases
9 (MMP9). Human retinal endothelial cells (RECs) and retinal pigment epithelial (RPE) cells were cultured for 24 h (interleukin-1β
[IL-1β] stimulation) or 48 h (D-glucose stimulation) with or without IL-4 (40 ng/ml) or melatonin (100 μM). The mRNA and protein
levels of the MMP2 and MMP9 genes were analyzed with quantitative real-time PCR (qPCR) and enzyme-linked immunosorbent assay
(ELISA), respectively. The expression of MMP2 and MMP9 was significantly decreased by IL-4 and melatonin in human RECs and
RPE cells induced by D-glucose or IL-1β. The data are expressed as the mean±standard deviation (SD; n = 3; *p<0.05 versus
the control group).
