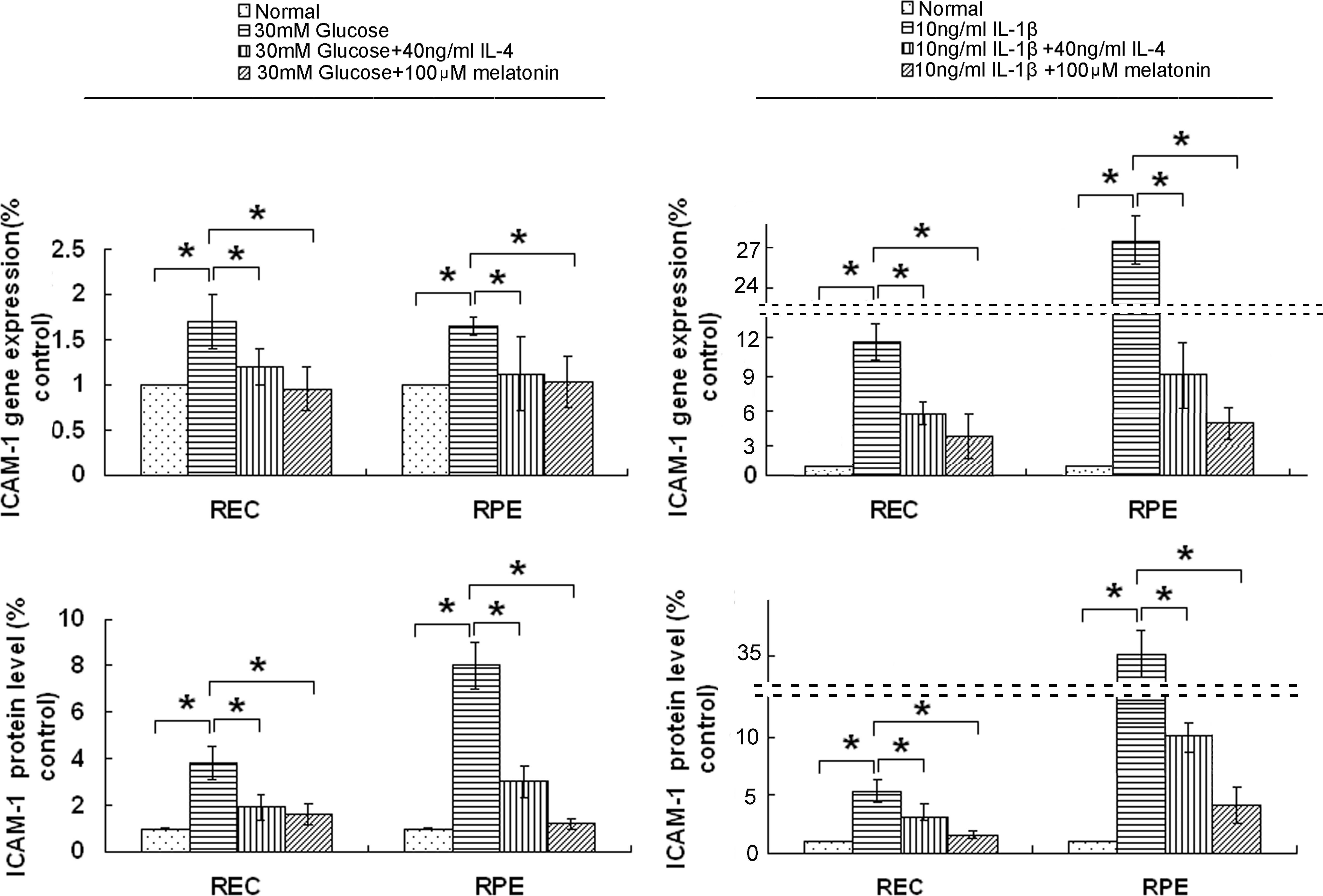
Figure 2. Interleukin-4 (IL-4) and melatonin downregulated the expression of intercellular cell adhesion molecule-1 (ICAM-1) induced
with D-glucose or interleukin-1β. After D-glucose (30 mM; 48 h incubation) or interleukin-1β (IL-1β; 10 ng/ml; 24 h incubation)
induction with or without IL-4 (40 ng/ml) or melatonin (100 μM), total RNA was extracted from the human retinal endothelial
cells (RECs) and retinal pigment epithelial (RPE) cells, and the supernatants were harvested for quantitative real-time PCR
(qPCR) and enzyme-linked immunosorbent assay (ELISA) to measure the levels of ICAM-1 mRNA and protein, respectively. The mRNA
and protein levels of ICAM-1 increased significantly after induction with D-glucose or IL-1β, but were significantly downregulated
by IL-4 and melatonin. The data are expressed as the mean± standard deviation (SD; n = 4; *p<0.05 versus the control group).
