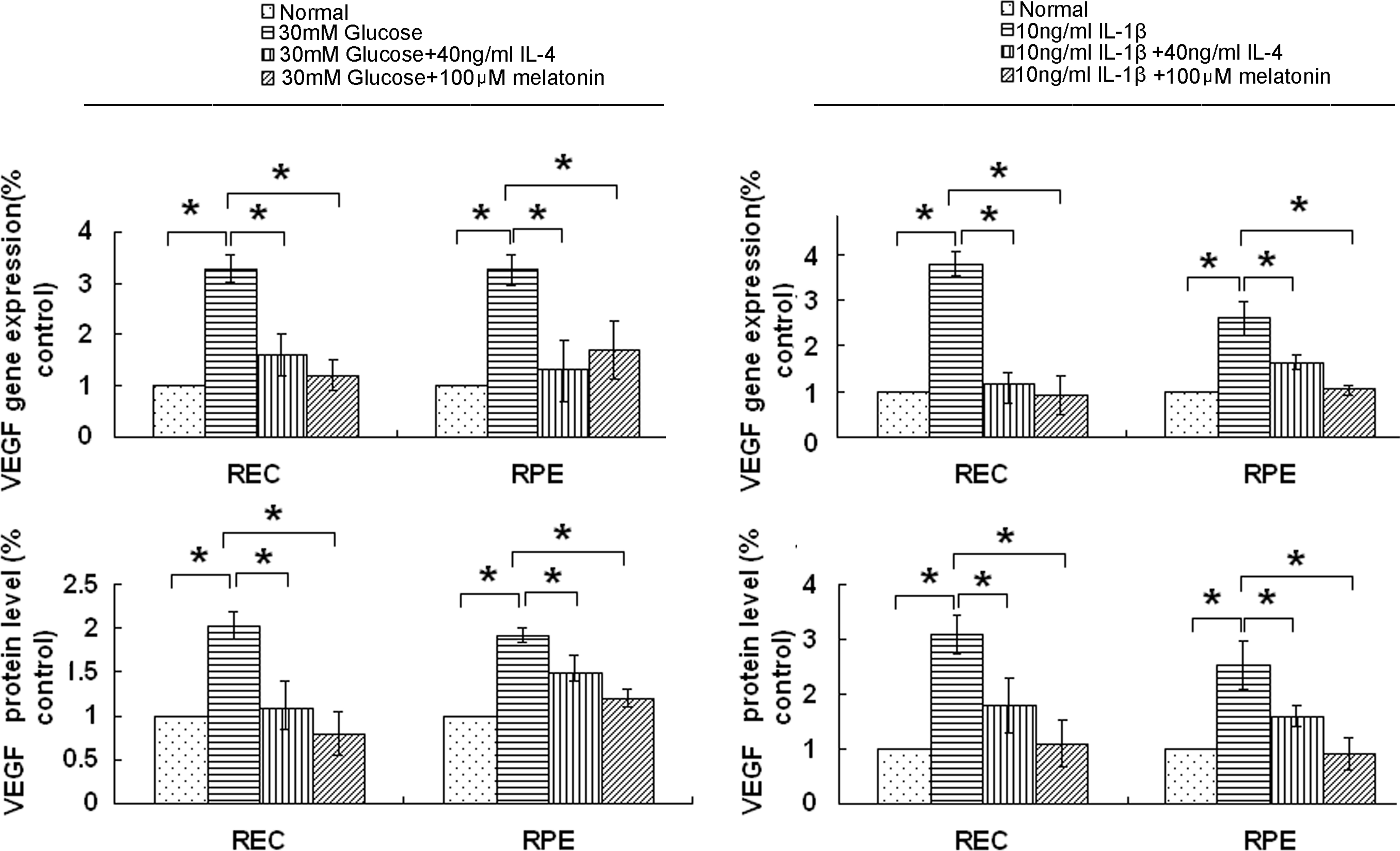
Figure 1. Interleukin-4 (IL-4) and melatonin downregulated the expression of vascular endothelial growth factor (VEGF). Human retinal
endothelial cells (RECs) and retinal pigment epithelial (RPE) cells were cultured to a state of subconfluency and then maintained
in human endothelial-serum free medium (HE-SFM) or Dulbecco’s Modified Eagle Medium (DMEM) that contained 1% serum for 24
h for synchronization. The cells were then exposed to D-glucose (30 mM; 48 h incubation) or interleukin-1β (IL-1β; 10 ng/ml;
24 h incubation) in the presence or absence of IL-4 (40 ng/ml) or melatonin (100 μM). Total RNA was extracted, and the supernatants
were harvested. VEGF expression was analyzed using quantitative real-time PCR (qPCR) and enzyme-linked immunosorbent assay
(ELISA), respectively. The data are expressed as the mean±standard deviation (SD; n = 4; *p<0.05 versus the control group).
