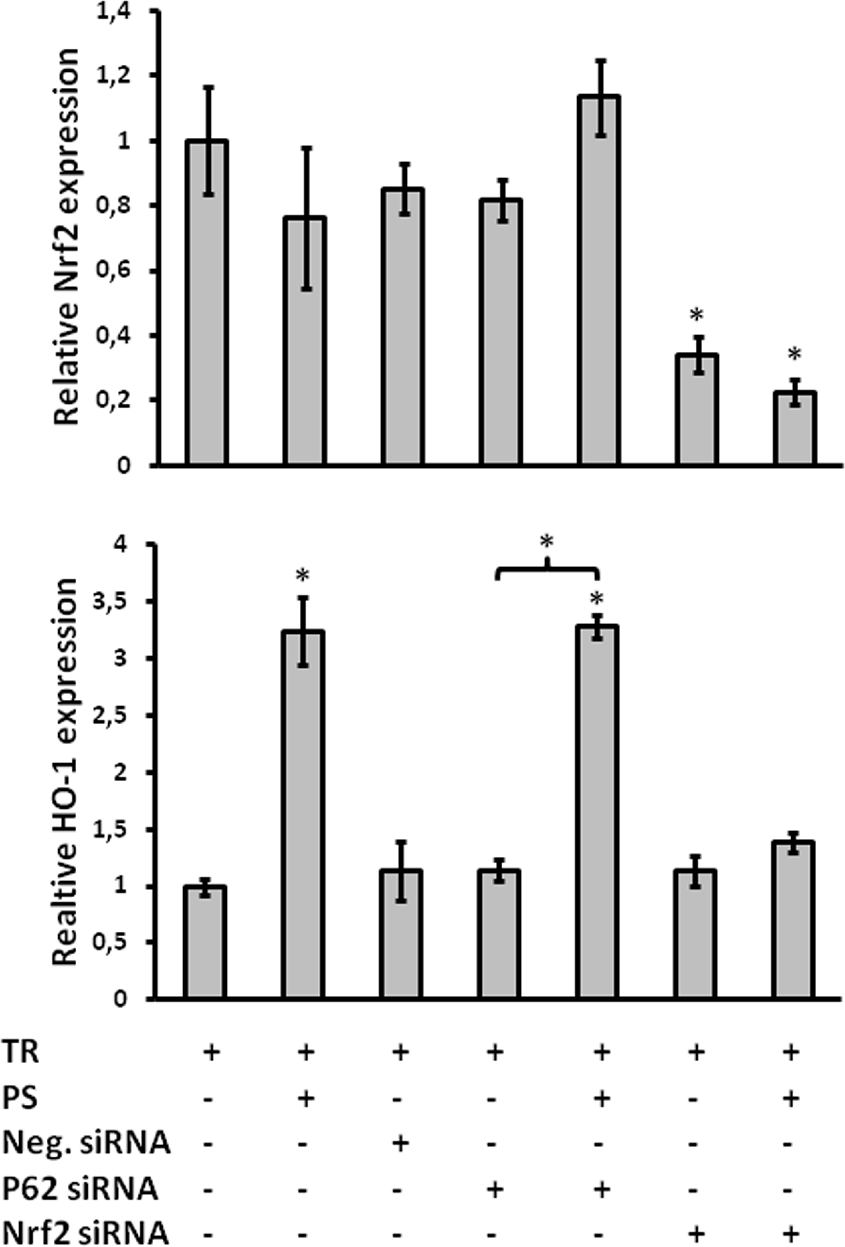
Figure 6. The effect of pinosylvin on the expression of Nrf2 and HO-1 in Nrf2 or p62 knockdown ARPE-19 cells. ARPE-19 cells were transfected
with p62 or Nrf2 siRNA for 24 h, and the mRNA expression levels of Nrf2 and its target gene HO-1 were analyzed with quantitative real-time PCR. Data are expressed as the mean relative expression (versus RPLP0)± standard
error of the mean (SEM), n = 3, *p<0.05, significantly different from transfection control (TR) cells, ANOVA, and the t test. TR=transfection agent; PS=pinosylvin; Neg. siRNA=negative siRNA.
