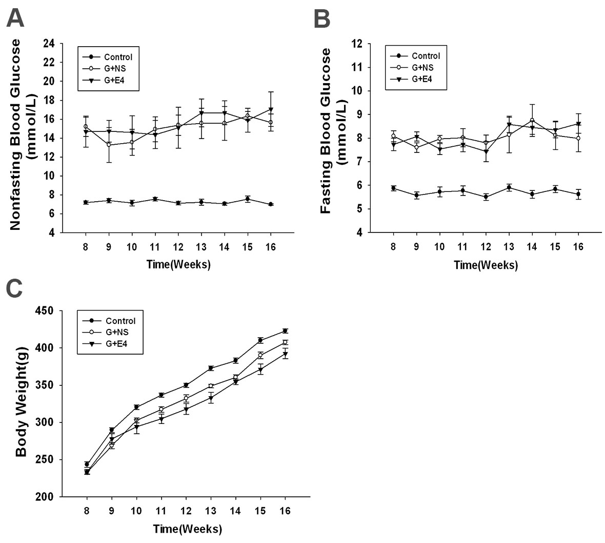
Figure 1. No influence on the blood glucose level or bodyweight of GK rats by E4 treatment. Non-fasting blood glucose (A), fasting blood glucose (B) and bodyweight (C) of rats with and without E4 intravitreal injection at 12 weeks of age (two-way repeated ANOVA for interaction: non-fasting
blood glucose, F(16,243)=1.112, p=0.344; fasting blood glucose, F(16,243)=1.157, p=0.304; bodyweight, F(16,243)=1.336, p=0.176;
n=10). Bodyweight and non-fasting and fasting blood glucose levels did not statistically differ between the GK control and
E4-treated group from 12 to 16 weeks of age (two-way ANOVA followed by Bonferroni’s test: non-fasting blood glucose, p=0.43;
fasting blood glucose, p=0.921; bodyweight, p=0.576; n=10). Each datum point is expressed as the means ± SEM (n=10). GK rat:
Goto-Kakizaki rat; E4: Exendin-4; Control: Wistar rats treated with sham injection (normal saline); G+NS: GK rats treated
with normal saline; G+E4: GK rats treated with E4.
