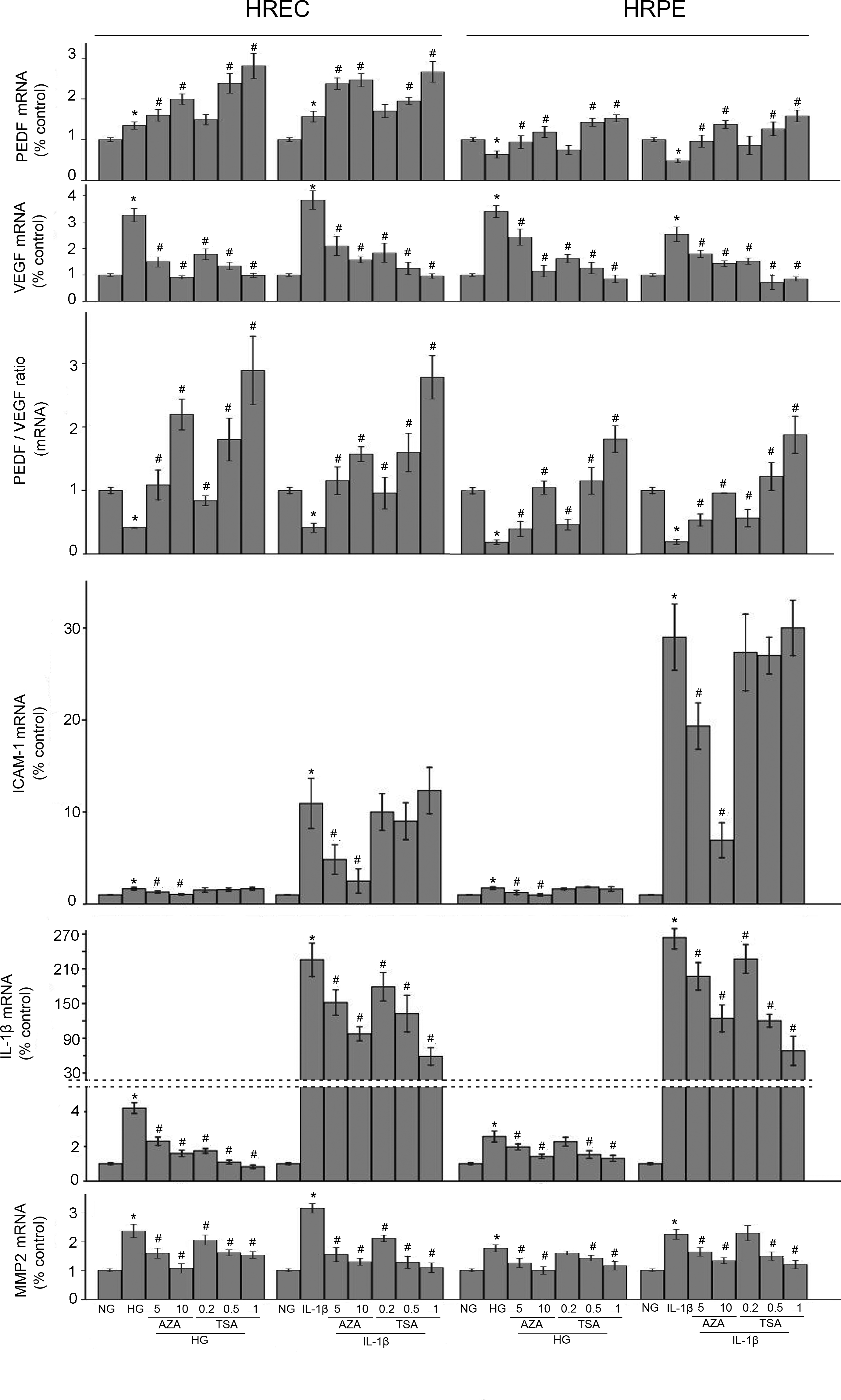
Figure 3. 5-aza-2’-deoxycytidine (5-aza-dC) and trichostatin A (TSA) induced pigment epithelium derived factor (PEDF), reverses PEDF/vascular
endothelial growth factor (VEGF) ratio and mitigated the up-regulations of exacerbating factors at mRNA levels in human retinal
endothelial cells (HRECs) and human retinal pigment epithelial (HRPE) cells in high glucose (HG) or interleukin (IL)-1β condition
while TSA further up-regulated intercellular cell adhesion molecule-1 (ICAM-1) mRNA in HRECs. Cells were cultured for 24 h
(IL-1β stimulation) or 48 h (HG stimulation) with or without 5-aza-dC (5 μM, 10 μM) or TSA (0.2 μM, 0.5 μM, 1 μM). PEDF, VEGF,
ICAM-1, IL-1β, and matrix metalloproteinase 2 (MMP2) gene expressions and the PEDF/VEGF mRNA ratio were analyzed with real-time
PCR. The data are expressed as the mean ± standard deviation (SD). The expression was normalized separately to its control
counterpart. *p<0.05 versus the normal physiologic glucose (NG) group, #p<0.05 versus the HG group or the IL-1β group. All
experiments were repeated three times with similar results.
