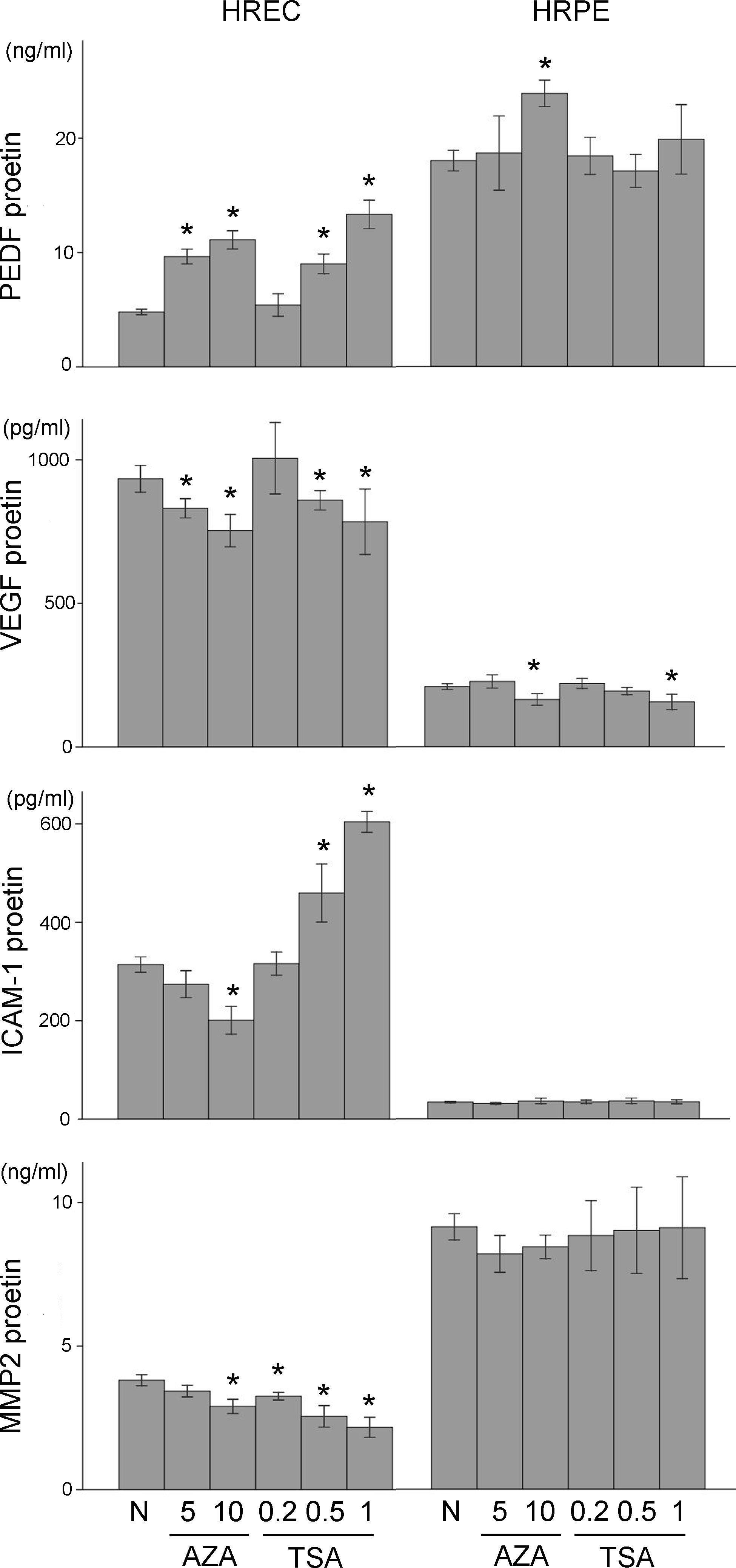
Figure 2. Induction of pigment epithelium derived factor (PEDF) and suppression of exacerbating factors at protein levels by 5-aza-2’-deoxycytidine
(5-aza-dC) in human retinal endothelial cells (HRECs) and human retinal pigment epithelial (HRPE) cells in normal glucose
(NG) condition. Similar effects of trichostatin A (TSA) was observed except that intercellular cell adhesion molecule-1 (ICAM-1)
protein was induced in HRECs by TSA. Cells were cultured for 48 h in NG with or without 5-aza-dC (5 μM, 10 μM) or TSA (0.2
μM, 0.5 μM, 1 μM). PEDF, vascular endothelial growth factor (VEGF), ICAM-1, interleukin (IL)-1β, and matrix metalloproteinase
2 (MMP2) in the supernatants were analyzed with enzyme-linked immunosorbent assay (ELISA). The data are expressed as the mean
± standard deviation (SD; *p<0.05). All experiments were repeated three times with similar results. IL-1β secretion could
not be detected due to its low concentration.
