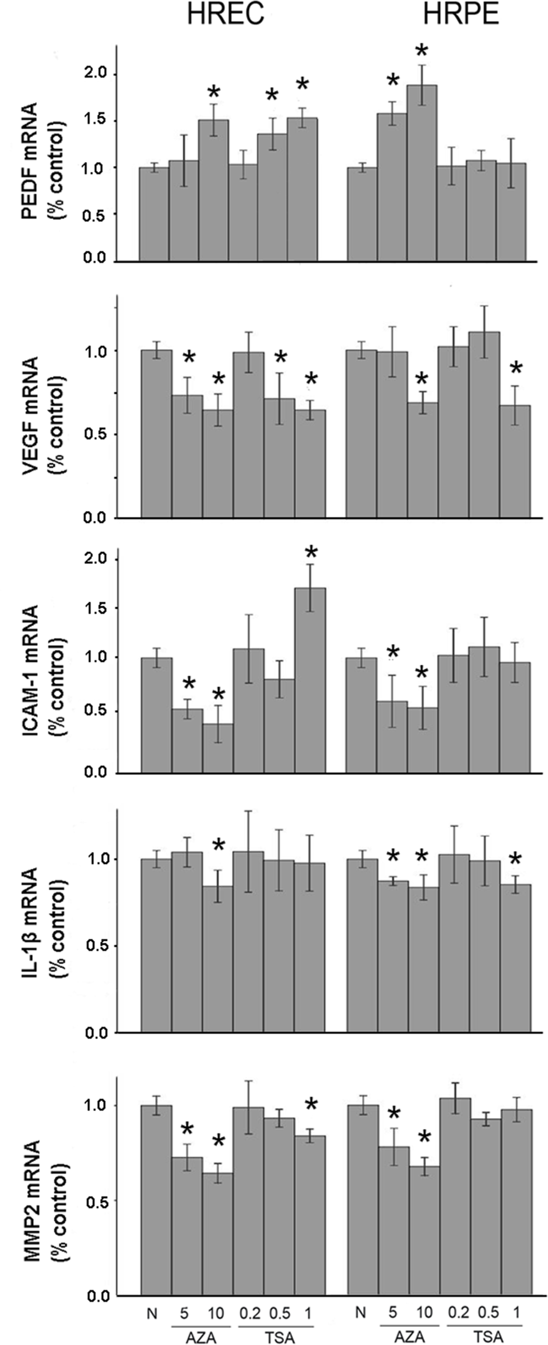
Figure 1. Induction of pigment epithelium derived factor (PEDF) and suppression of exacerbating factors at mRNA levels by 5-aza-2’-deoxycytidine
(5-aza-dC) in human retinal endothelial cells (HRECs) and human retinal pigment epithelial (HRPE) cells in normal glucose
(NG) condition. Similar effects of trichostatin A (TSA) was observed except that intercellular cell adhesion molecule-1 (ICAM-1)
mRNA was induced in HRECs by TSA. Cells were cultured for 48 hours in NG with or without 5-aza-dC (5 μM, 10 μM) or TSA (0.2
μM, 0.5 μM, 1 μM). PEDF, vascular endothelial growth factor (VEGF), intercellular cell adhesion molecule-1 (ICAM-1), interleukin
(IL)-1β, and matrix metalloproteinase 2 (MMP2) gene expressions was analyzed with real-time PCR. The data are expressed as
the mean ± standard deviation (SD; *p<0.05). All experiments were repeated three times with similar results.
