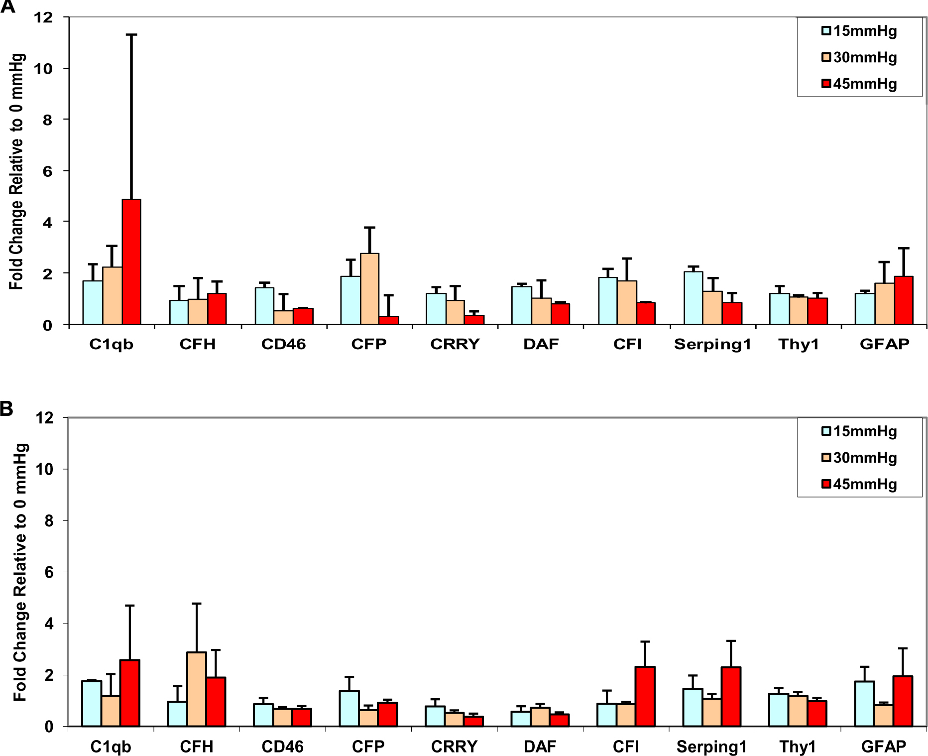
Figure 4. Real-time reverse transcription polymerase chain reaction (RT–PCR) analysis of primate retinal organotypic cultures subjected
to different pressure levels. RT–PCR assays were performed to detect changes in mRNA expression levels in primate retinal
organotypic cultures subjected to different levels of pressure for 24 h (A) and 72 h (B). Fold changes are expressed in comparison to the average mRNA levels in cultures exposed to ambient atmospheric pressure
(0 mmHg; thus the 0 mmHg group would have a mean of 1). Error bars represent standard error of the mean.
