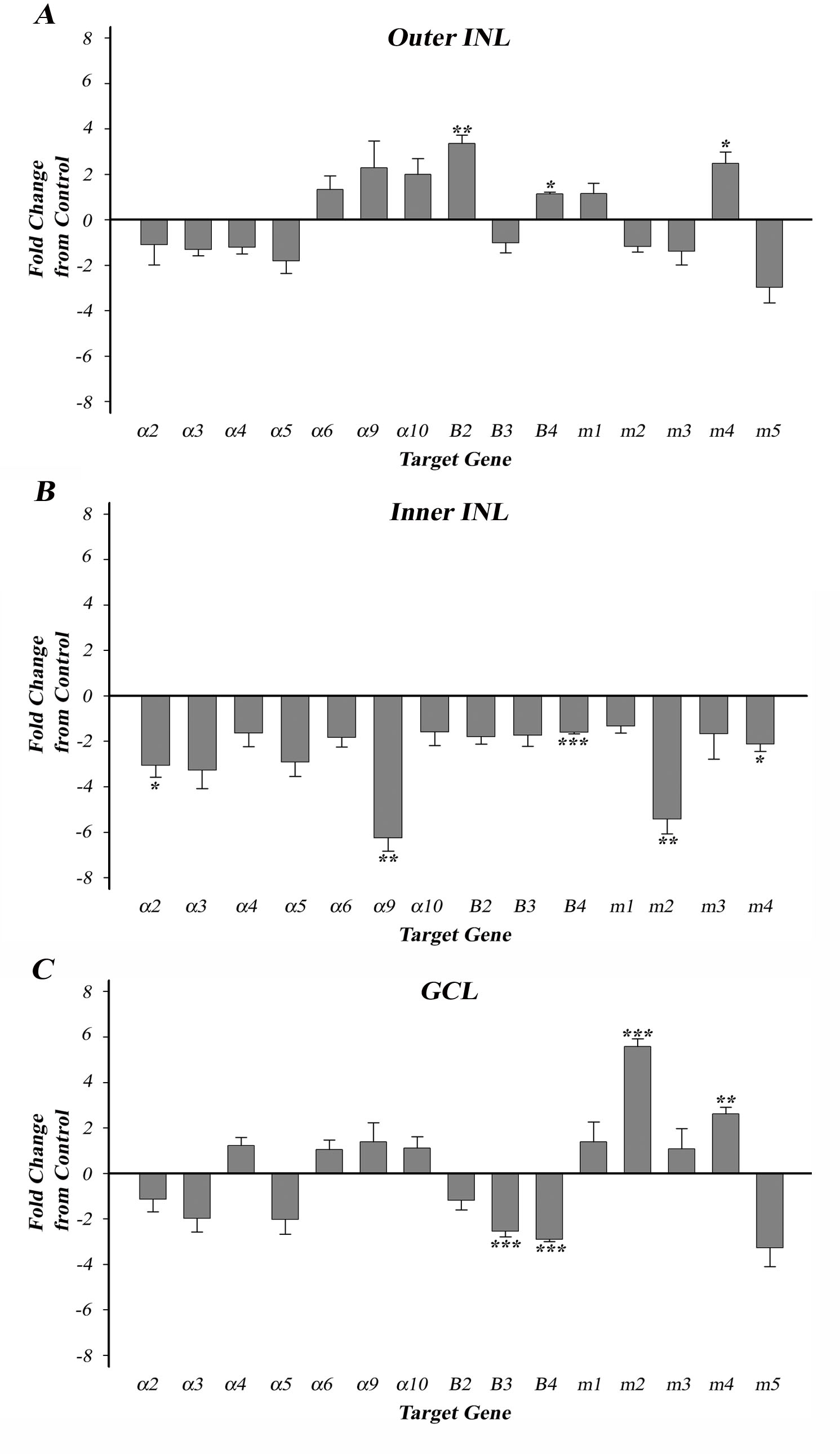
Figure 6. Acetylcholine receptor qPCR fold changes in the oINL, the iINL, and the GCL of the mouse retinas. A: In the oINL, there was an upregulation of the β2 and β4 nAChR subunits. B: In the iINL, there was a downregulation of the α2, α9, and β4 nAChR subunits as well as the m2 and m4 mAChR subtypes. All
acetylcholine receptor (AChR) subunits and subtypes showed downregulation or trended toward downregulation in the iINL. C: In the GCL, there was an upregulation of the m2 and m4 mAChR subtypes and an upregulation of the β3 and β4 nAChR subunits.
Error bars represent SEM. *p<0.05, **p<0.01, ***p<0.001, (n=11).
