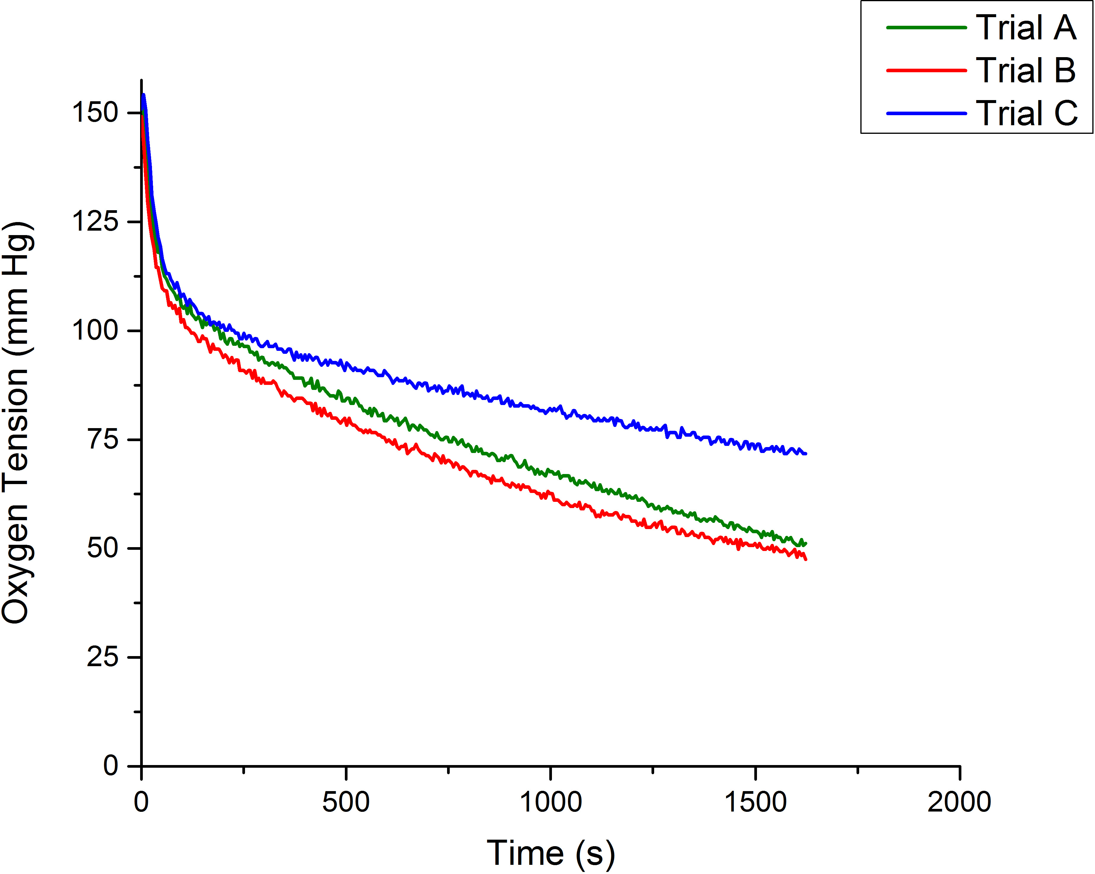
Figure 2. The reproducibility of the oxygen-sensing probe. The signals observed for a 6 cP glycerol/water solution demonstrate that
solutions of the same viscosity produce similar decay curves, which are reproducible under controlled experimental conditions.
