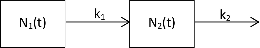
Figure 1. A simple two-reservoir pharmacokinetic model defining time-dependent amounts in each reservoir and the elimination rate constants
for transport from the reservoirs. Reservoir 1 should be understood as the gut and, in this model, undifferentiated, except
in time. Reservoir 2 should be understood as the blood/serum reservoir whose concentrations were analyzed for each nutrient.
N1 and N2 are considered either the time-dependent concentrations or total amounts for each nutrient, as described in the text. For
N2, these are related to the expected blood volume: about 5 l for a 73 kg adult.
