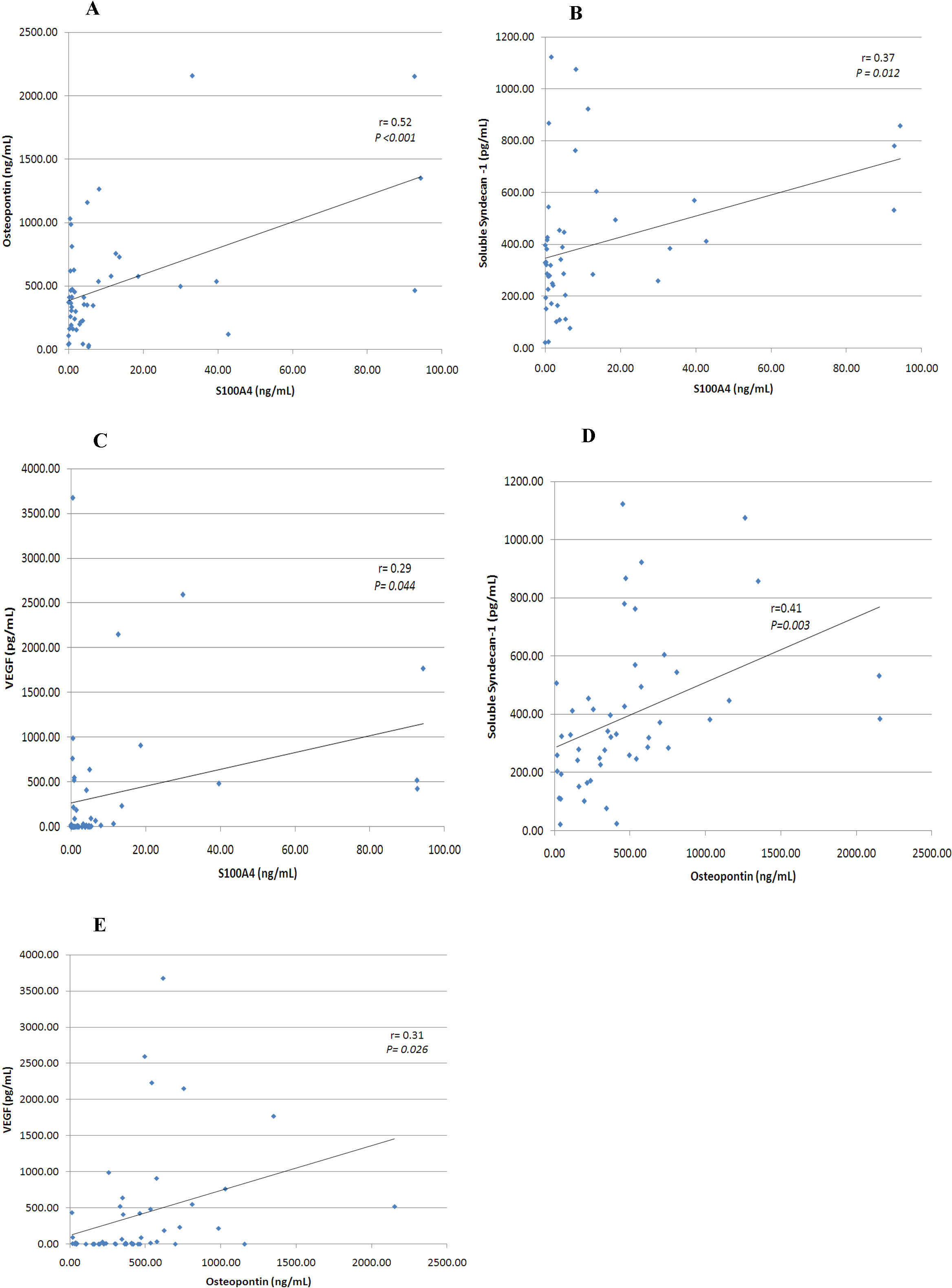
Figure 2. Significant positive correlations between the vitreous fluid levels of S100A4 and the levels of OPN (panel A), soluble syndecan-1 (panel B), and VEGF (panel C), as well as between the vitreous fluid levels of OPN and the levels of soluble syndecan-1 (panel D) and VEGF (panel E).
