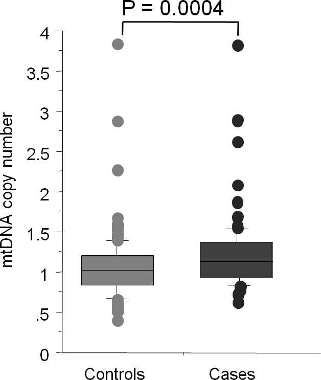
Figure 1 of Abu-Amero, Mol Vis 2014; 20:1203-1208.


Figure 1. Box plot showing distribution of the mtDNA copy number in the cases and control groups.