Figure 3 of Liu, Mol Vis 2013; 19:695-701.


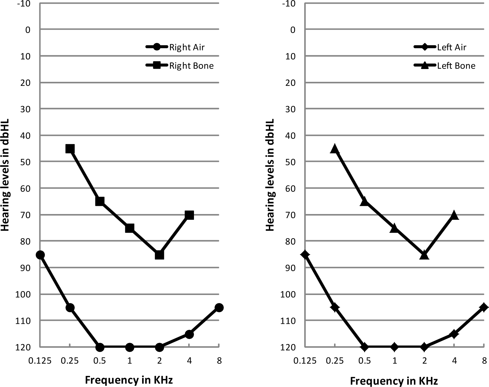
Figure 3. Audiometry results of the proband. Severe to profound bilateral hearing impairment was indicated.