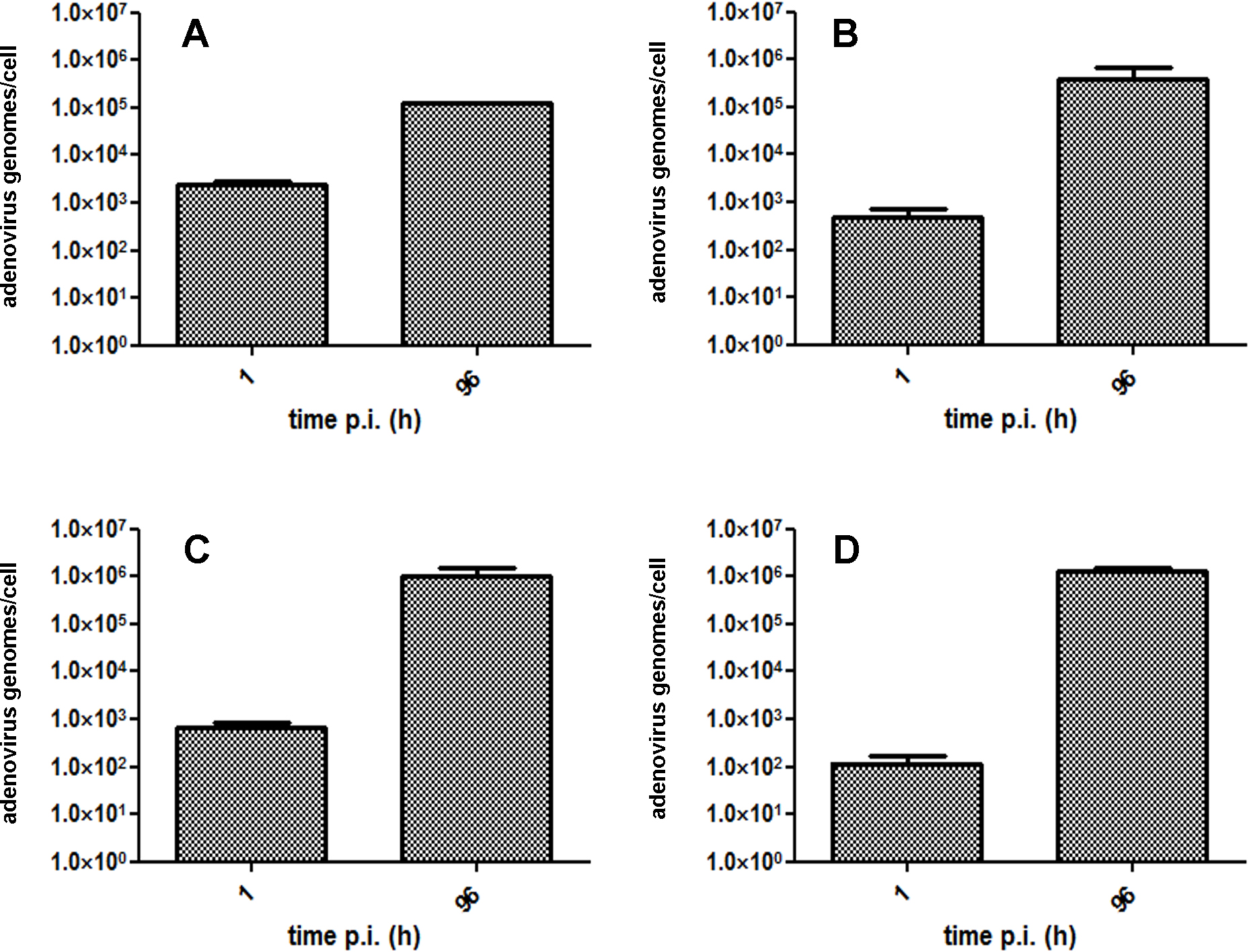
Figure 3. Replication of viral DNA after human adenovirus-D37 infection of corneal cells. Intracellular human adenovirus-D37 (HAdV-D37)
DNA concentration (mean adenovirus genomes per cell) at 1 h PI (baseline) and at 96 h PI of primary porcine corneal epithelial
cells (PPCE; A), primary human corneal epithelial cells (PHCE; B), primary porcine corneal keratocytes (PPCK; C), and primary human corneal keratocytes (PHCK; D). Error bars indicate standard deviation. Increase in HAdV DNA/cell was significant in all cells (p<0.01, unpaired, two-tailed
Student t test).
