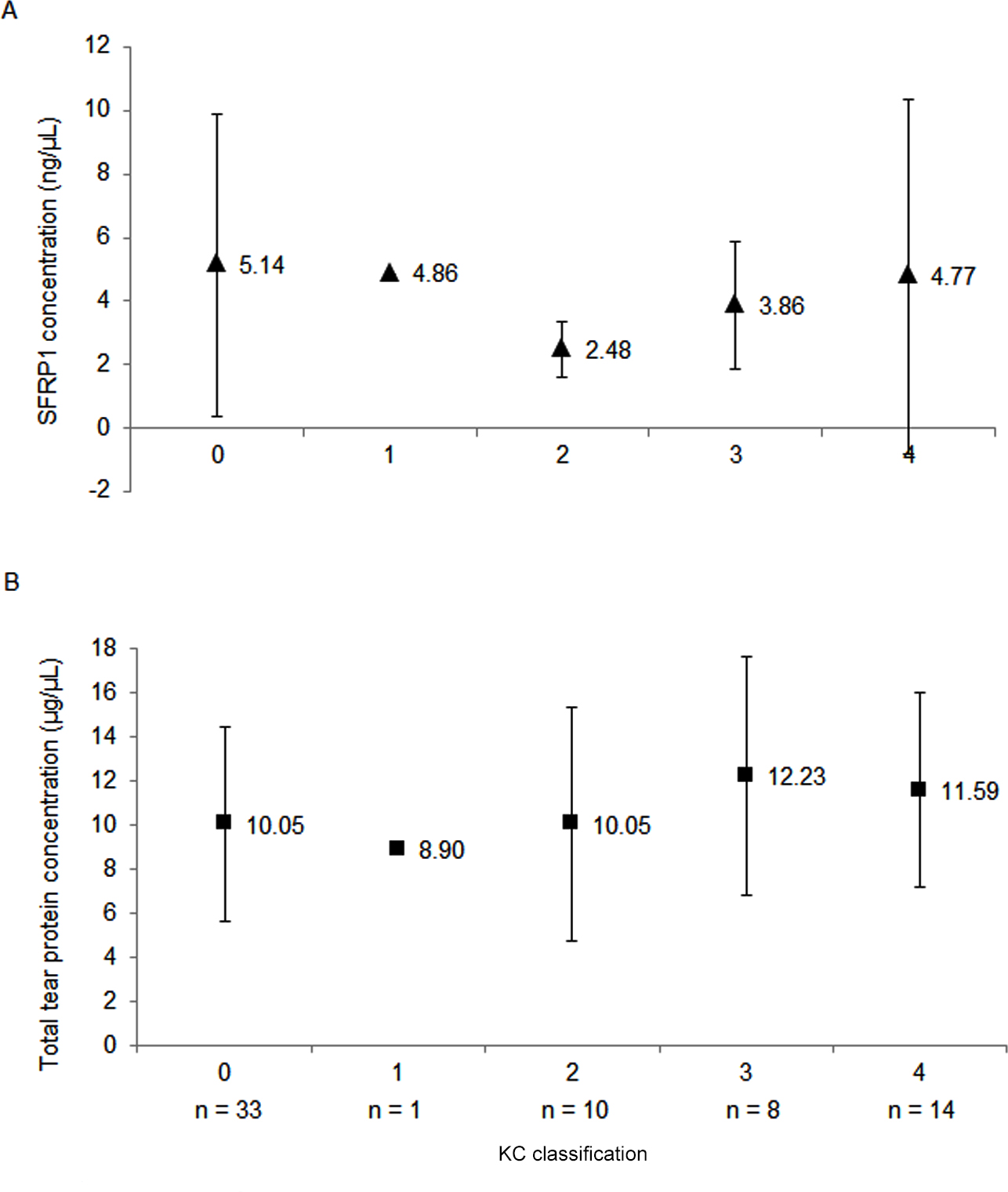
Figure 3. Tear secreted frizzled-related protein 1 (SFRP1) concentration was highest in controls (Grade 0), compared to individual KC
grades whereas the total tear-protein concentration was highest in KC Grade 3 and 4. A: Tear-SFRP1 concentration for control and KC patients showing that controls had the highest concentration. B: Total tear-protein concentration for control and KC showing highest concentration in advanced KC (Grade 3 and 4). Error
bar: standard deviation.
