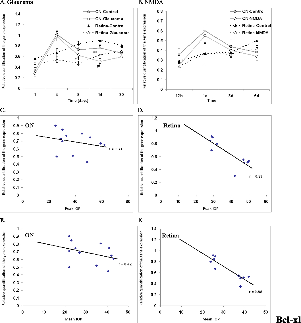
Figure 8. Real-time polymerase chain reaction analysis of the prosurvival gene, Bcl-xl, from optic nerves and retinas of glaucoma (A) and NMDA retinal toxicity (B) models. Bcl-xl gene expression decreased significantly in both the optic nerves (ONs) and retinas of glaucomatous eyes,
while it stayed unchanged in the NMDA model. The peak and mean intraocular pressures (IOPs) were significantly correlated
with Bcl-xl expression in the retinas (D,F: r=0.83, 0.88, p<0.05, respectively), but not in the ONs (C,E: r=0.33, 0.42, respectively). Values are expressed as fold change of gene expression compared to a calibrator (endogenous
control, β-actin); n=5–7 rats at each time point. Data represent means±standard error of the mean (SEM); #significantly lower at p<0.05 than ON controls, **significantly lower at p<0.05 than retina controls.
