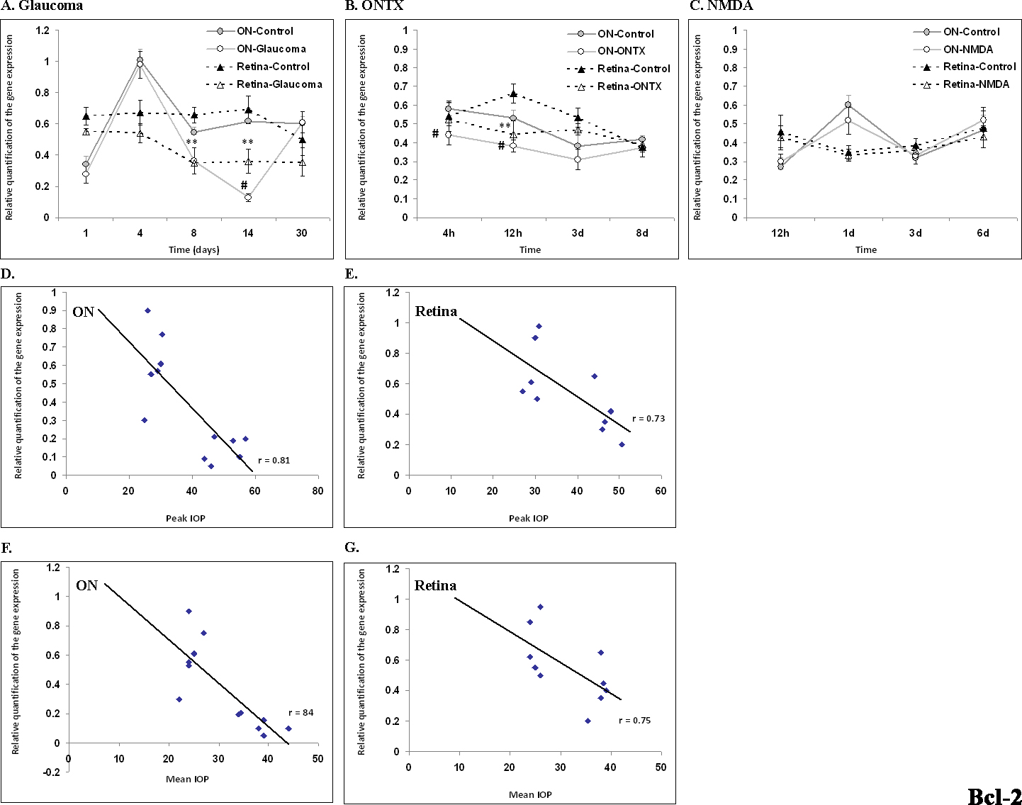
Figure 6. Real-time polymerase chain reaction analysis of the prosurvival gene, BCL-2, in optic nerves and retinas of three ocular injury
models. A-C: The Bcl-2 gene expression decreased significantly in both the optic nerves (ONs) and retinas in the glaucoma and ONTX models,
while it stayed unchanged in the NMDA model. D-G: The peak intraocular pressure (IOP) was significantly correlated with Bcl-2 expression in ONs and retinas (D, E: r=0.81, 0.73, p<0.05, respectively), as was the mean IOP (F, G: r=0.84, 0.75, p<0.05, respectively). Values are expressed as fold change of gene expression compared to a calibrator (endogenous
control, β-actin); n=5–7 rats at each time point. Data represent means±standard error of the mean (SEM); #significantly lower
at p<0.05 than ON controls, **significantly lower at p<0.05 than retina controls.
