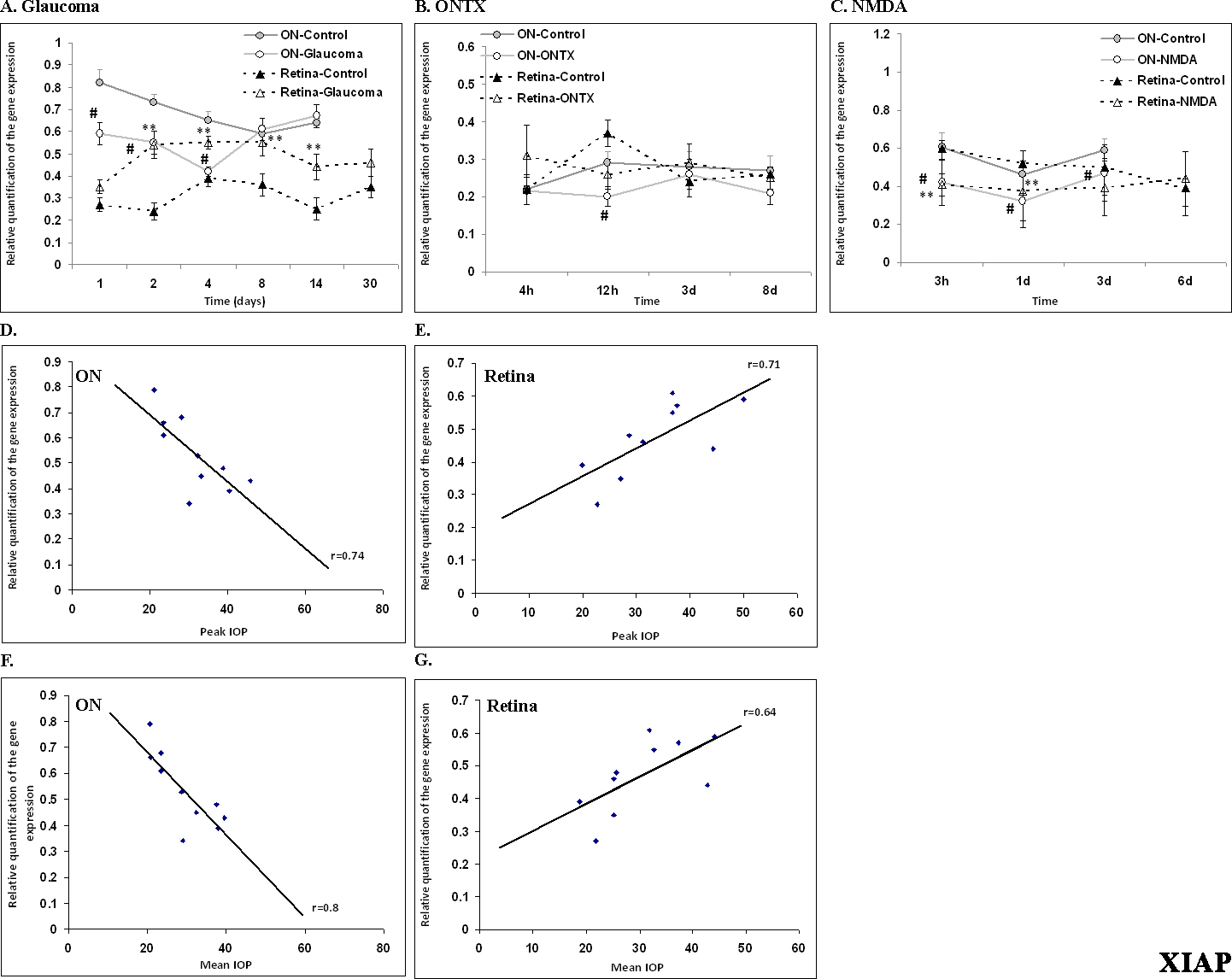
Figure 4. Real-time polymerase chain reaction analysis of the prosurvival gene X-linked inhibitor of apoptosis (XIAP) from the optic
nerves and retinas of three models of ocular injury. A: X-linked inhibitor of apoptosis (XIAP) gene expression increased significantly in the retinas and decreased significantly
in the optic nerves (ONs) in the glaucoma model. B and C: XIAP decreased significantly in the ONs and retinas in the ONTX and NMDA models. D-G: The peak and mean intraocular pressures (IOPs) were significantly and positively correlated with XIAP expression in the
retinas (E, G: r=0.71, 0.64, p<0.05, respectively) and inversely correlated in the ONs (D, F: r=0.74, 0.80, p<0.05, respectively). Values are expressed as fold change of gene expression compared to a calibrator (endogenous
control, β-actin); n=5–7 rats were used at each time point. Data represent means±standard error of the mean (SEM); #significantly
different at p<0.05 than ON controls, **significantly different at p<0.05 than retina controls.
