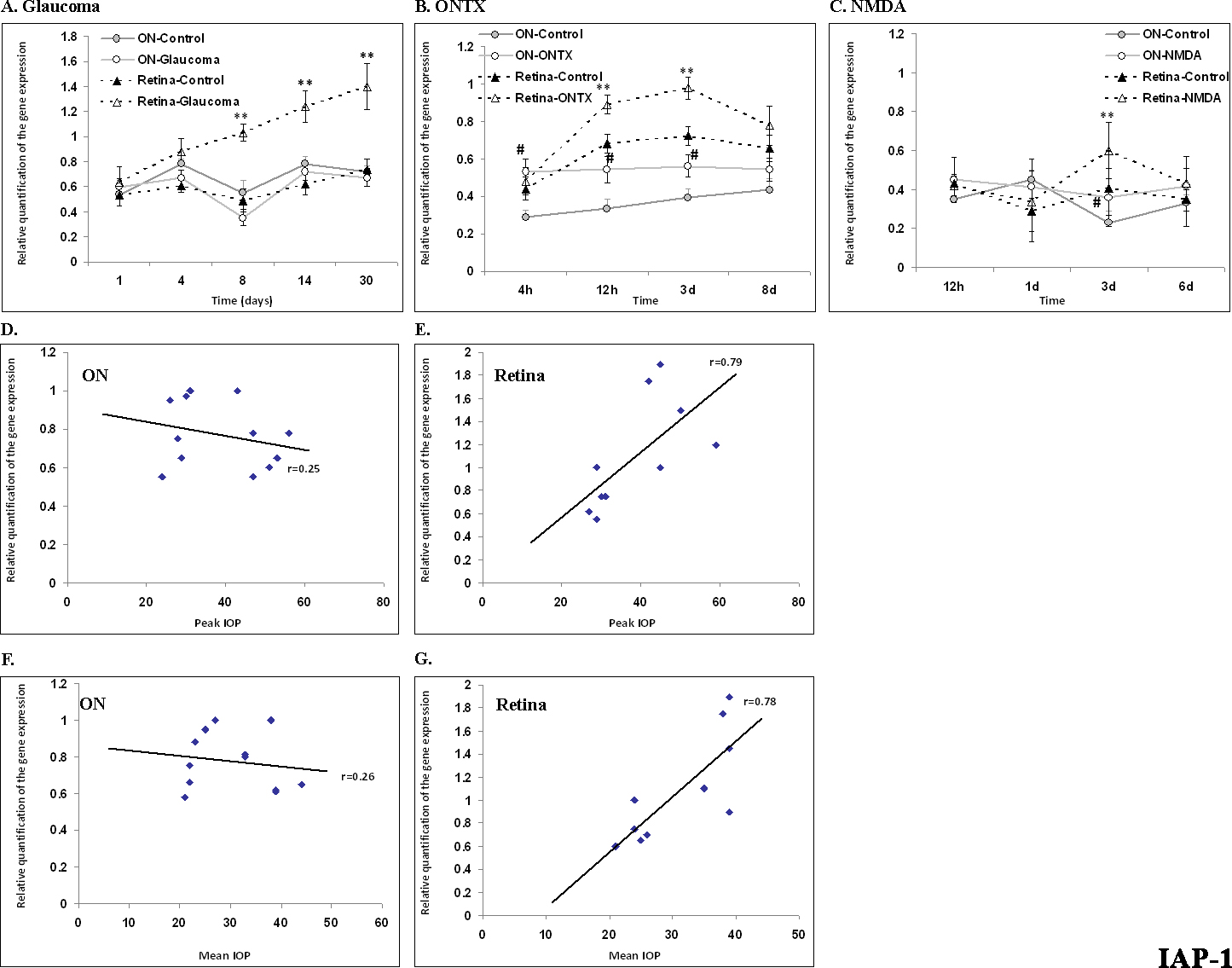
Figure 1. Real-time polymerase chain reaction analysis of the prosurvival gene inhibitor of apoptosis-1 (IAP-1) from the optic nerves
and retinas of three models of ocular injury. A: Inhibitor of apoptosis (IAP)-1 gene expression increased significantly in the retina, while it stayed unchanged in the ON
in the glaucoma model. B and C: IAP-1 increased significantly in both the ONs and retinas in the ONTX and NMDA models. D-G: Peak and mean intraocular pressures (IOPs) were significantly correlated with IAP-1 expression in the retina (E, G: r=0.79, 0.78, p<0.05, respectively) but not in the ON (D, F: r=0.25, 0.26, respectively). Values are expressed as fold change of gene expression compared to a calibrator (endogenous
control, β-actin); n=5–7 rats at each time point. Data represent means±standard error of the mean (SEM); #significantly higher
at p<0.05 than ON controls, **significantly higher at p<0.05 than retina controls.
