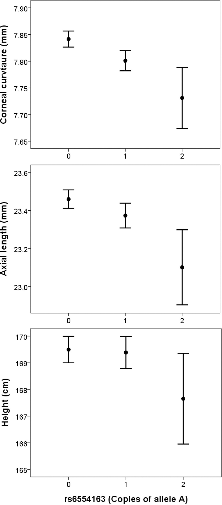
Figure 3. Associations between genotype at single nucleotide polymorphism rs6554163 and corneal curvature, axial length, and height
in 15-year-old children (n=914 boys and 1054 girls) from the Avon Longitudinal Study of Parents and Children cohort. Error
bars show 95% confidence interval.
