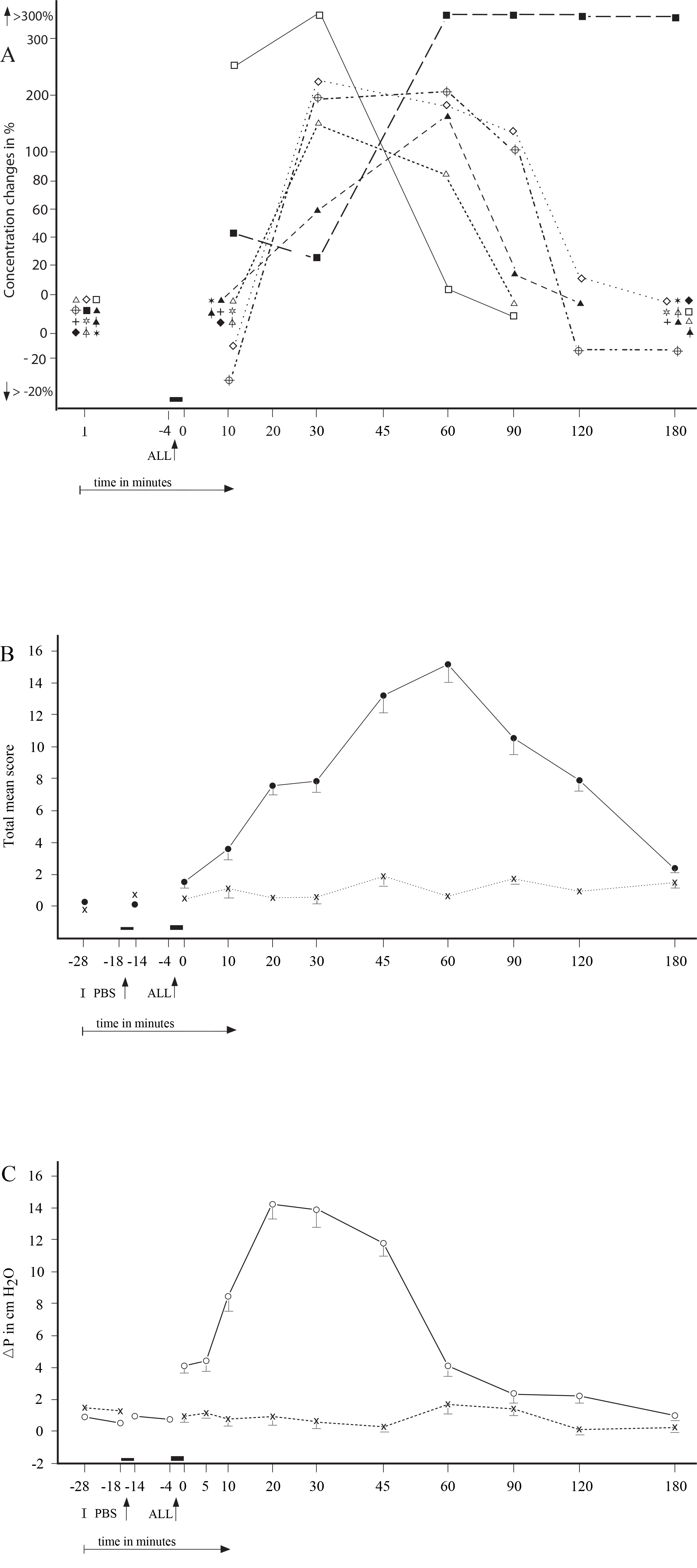
Figure 2. The secondary immediate ocular (conjunctival + corneal) responses (SIOR) were recorded in 11 patients. A: The mean score of particular factors recorded during the SIOR: hollow square= Histamine; hollow triangle = Tryptase; crossed
circle= ECP; hollow star = EDN; hollow triangle with vertical line = LTB4 ; hollow rhombus = LTC4 ; cross = LTE4 ; solid star
= MPO; solid rhombus = IFN-γ; solid triangle with vertical line= IL-2; solid square= IL-4; solid triangle= IL-5. B: The total mean score of ocular signs and symptoms recorded during the SIOR (●) and PBS (x). C: The mean rhinomanometric values (NPG) recorded during immediate nasal response to allergen challenge (○) and control challenge
with phosphate-buffered saline (PBS, x); I = Initial (baseline) values; ALL= Nasal challenge with allergen.
