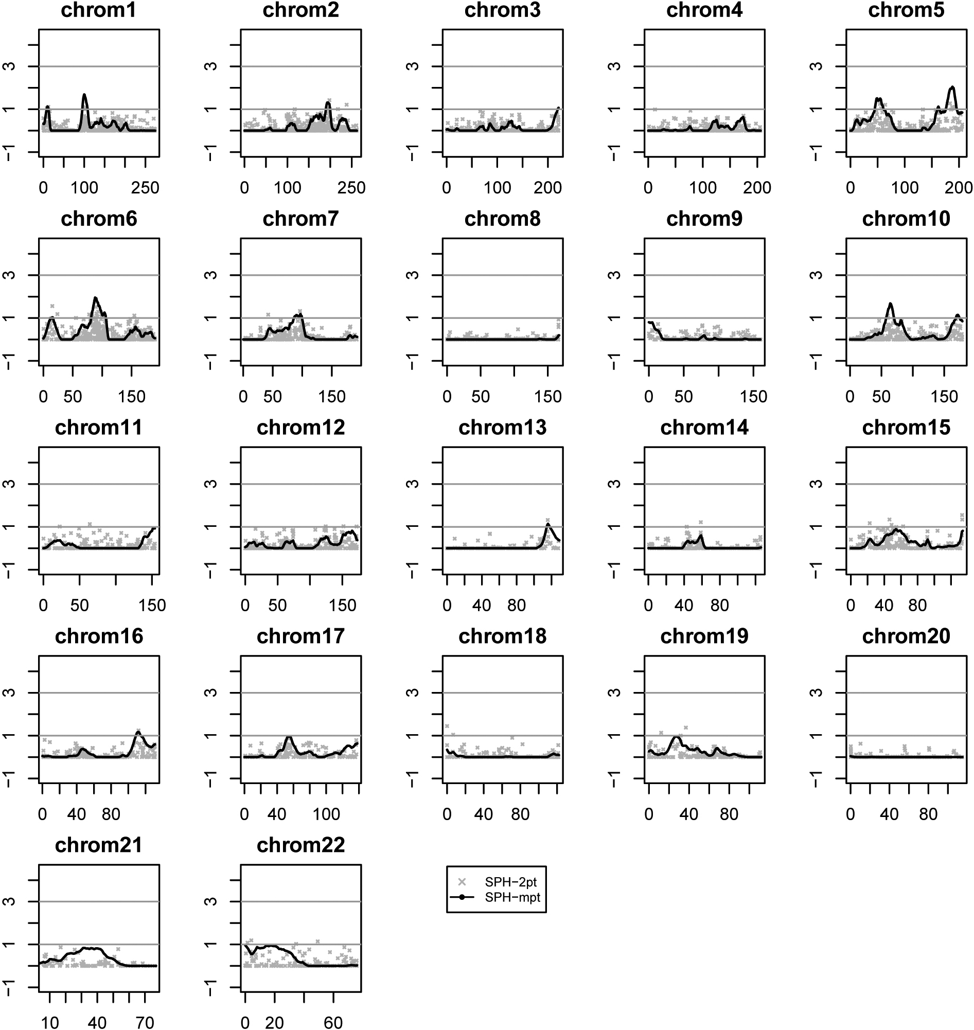
Figure 1. Genome-wide linkage
analysis results for mean sphere (SPH) measurements. Logarithm
of the odds (LOD) scores are plotted on the y-axes and genetic
distance in centiMorgans (cM) along each chromosome on the
x-axes. Two analyses are shown: two-point and multipoint
quantitative trait linkage.
