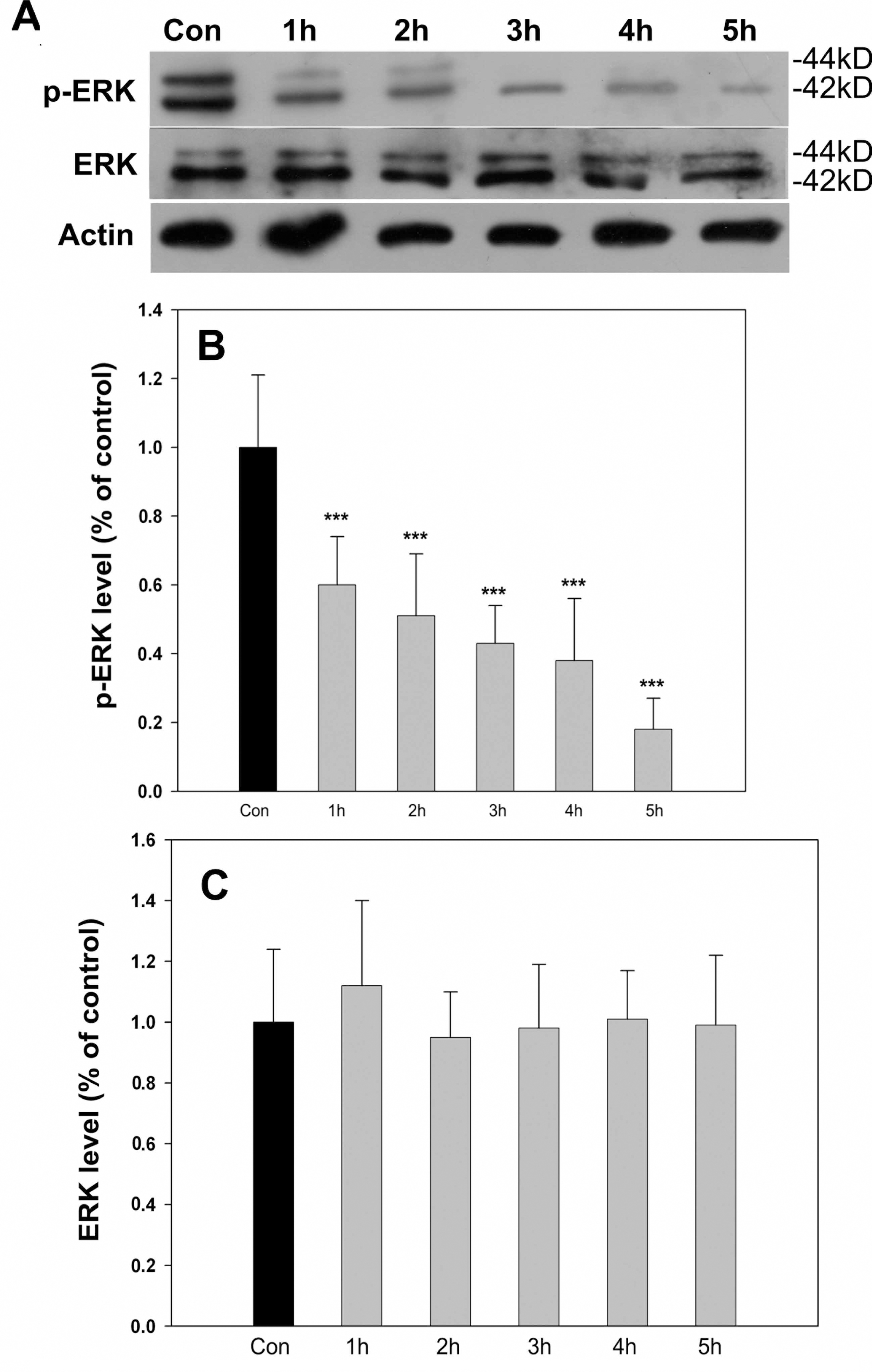
Figure 3. H2O2 treatment temporally decreased active levels of ERK in RGC-5 cells. RGC-5 cells were treated with various agents for designated
times. Cells were then harvested and lysed for immunoblot assay A: 500 μM H2O2-treatment caused a gradual reduction in p-ERK levels in a time-dependent manner (1–5 h), but had little influence on total
ERK compared to controls. Con: control. Each experiment was repeated at least three times, and a representative blot is shown.
B: The reduction in p-ERK was quantitatively measured, and statistical significance was analyzed. Data were obtained from at
least three independent experiments and expressed as the mean±SEM ***p<0.001, compared to controls. C: Total ERK levels were quantitatively measured, and statistical differences were analyzed. Data were obtained from at least
three independent experiments and expressed as the mean±SEM ***p<0.001, compared to controls.
