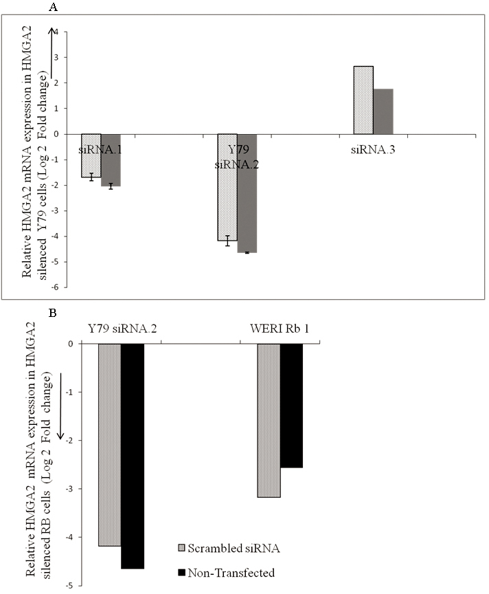
Figure 1. Effect of small interfering RNA on the expression of HMGA2 in RB Y79 cells in vitro. A: The mRNA levels of high mobility group A2 (HMGA2) in RB cells (Y79) treated with HMGA2 short interfering (si) RNA, namely, the siRNA.1 (Hs_HMGA2_6) sequence, led to a 4.65 log2 ratio decrease, siRNA.2 (Hs_HMGA2_7) led to a decrease of 2.0, the siRNA.3 sequence led to an increase of 1.76 log2 ratio when compared with HMGA2 mRNA levels in control (solid bar) and to a decrease of a 1.68 log2 ratio, 4.175 log2 ratio, an increase of a 2.65 log2 ratio, respectively, to cells treated with scrambled (SCR) siRNA (dotted bars) at the end of 48 h. The error bars represent
the standard deviation of triplicate values. B: The mRNA levels of high mobility group A2 (HMGA2) in Y79 cells treated with HMGA2 short interfering (si) RNA [siRNA.1 (Hs_HMGA2_6) sequence] led to a decrease of a 4.65 log2 ratio, in WERI Rb1 led to a decrease of a 2.56 log2 ratio when compared with HMGA2 mRNA levels in RB control cells (solid bar) and to a decrease of a 4.175 log2 ratio, a 3.17 log2 ratio, respectively, in RB (Y79, WERI Rb1) cells treated with scrambled (SCR) siRNA (dotted bars at the end of 48 h). The
error bars represent the standard deviation of triplicate values.
