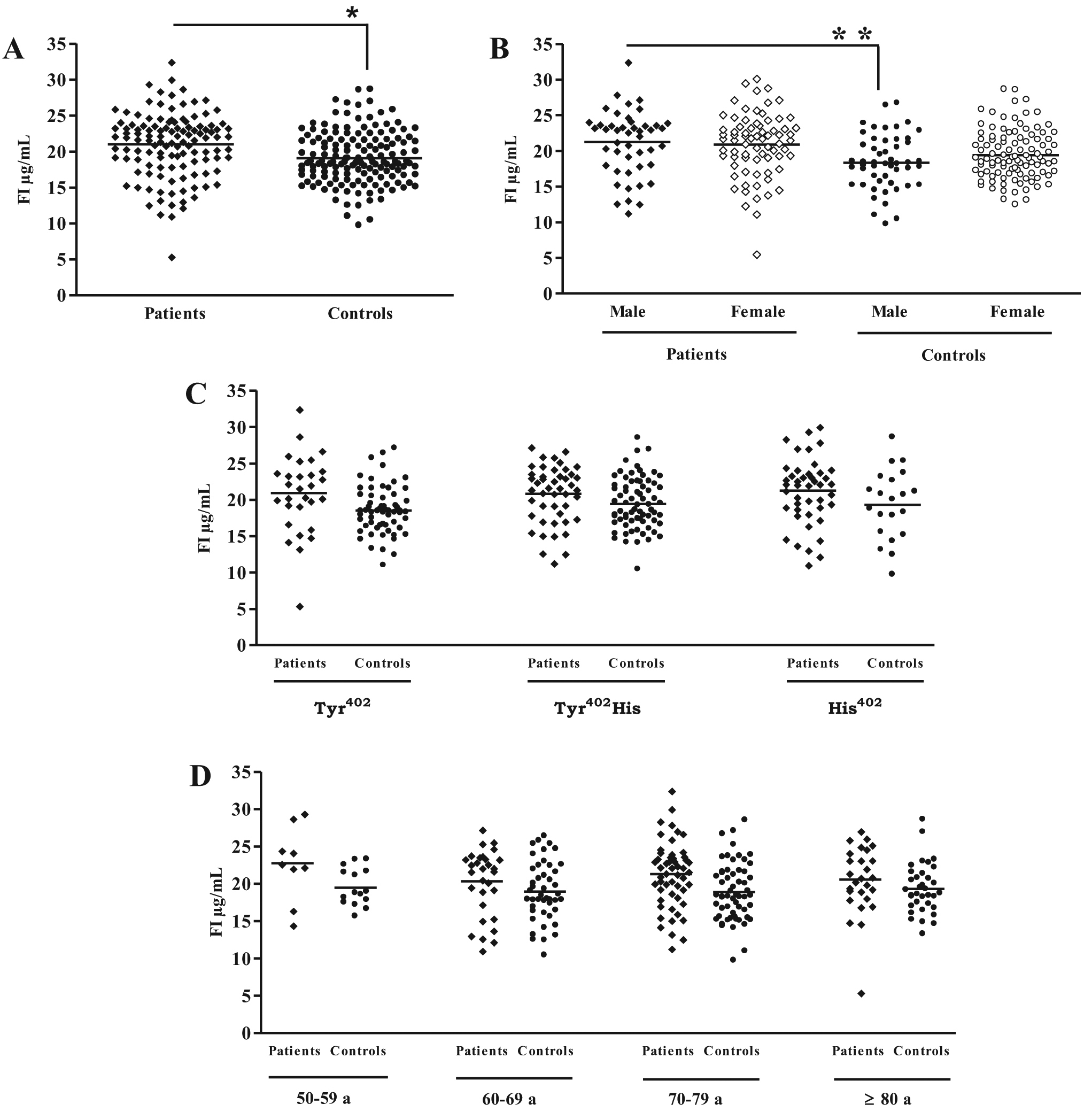
Figure 3. Plasma factor I levels. The
plasma factor I (FI) concentration was determined with
enzyme-linked immunosorbent assay (ELISA) in samples from 119
patients with age-related macular degeneration (AMD) and 152
controls (A). The AMD patient group was made up of 46 men
and 73 women. In the control group, 51 were male and 101 female
(B). FI levels are also classified according to factor H
(FH) polymorphism (C) and age (D). *p<0.05.
