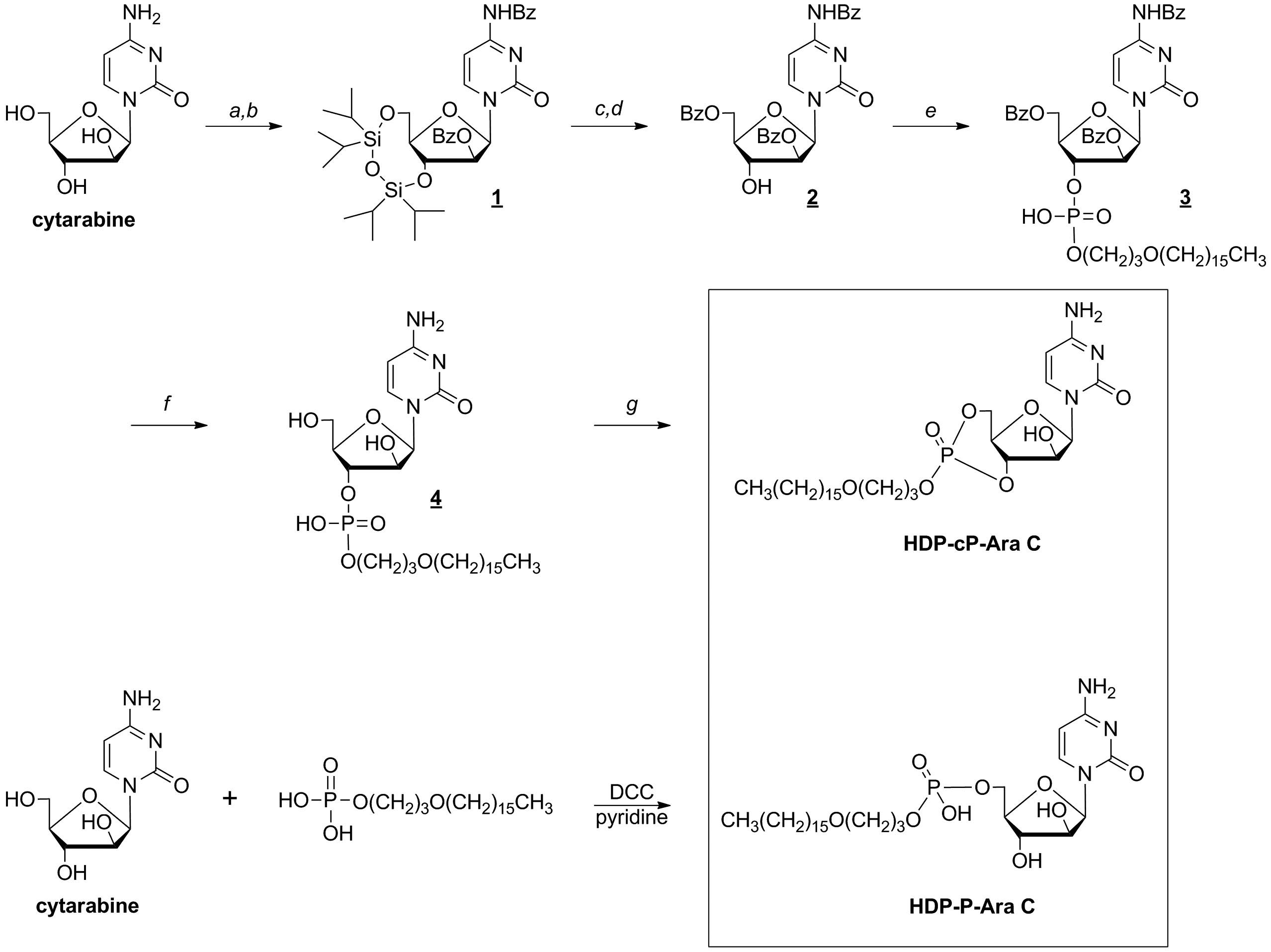
Figure 2. Synthesis of
hexadecyloxypropyl cytarabine 5’-monophosphate and
hexadecyloxypropyl cytarabine 3’,5’-cyclic monophosphate. The
following reagents were used: a)
1,3-dichloro-1,1,3,3-tetraisopropyldisiloxane, pyridine; b)
benzoyl chloride, pyridine; c) tetrabutylammonium fluoride,
HOAc, CH3CN; d) benzoyl chloride, pyridine, e)
hexadecyloxypropyl phosphate, N,N-dicyclohexylcarbodiimide,
pyridine; f) ammonia/methanol; g)
2,4,6-triisopropylbenzenesulfonyl chloride, pyridine.
