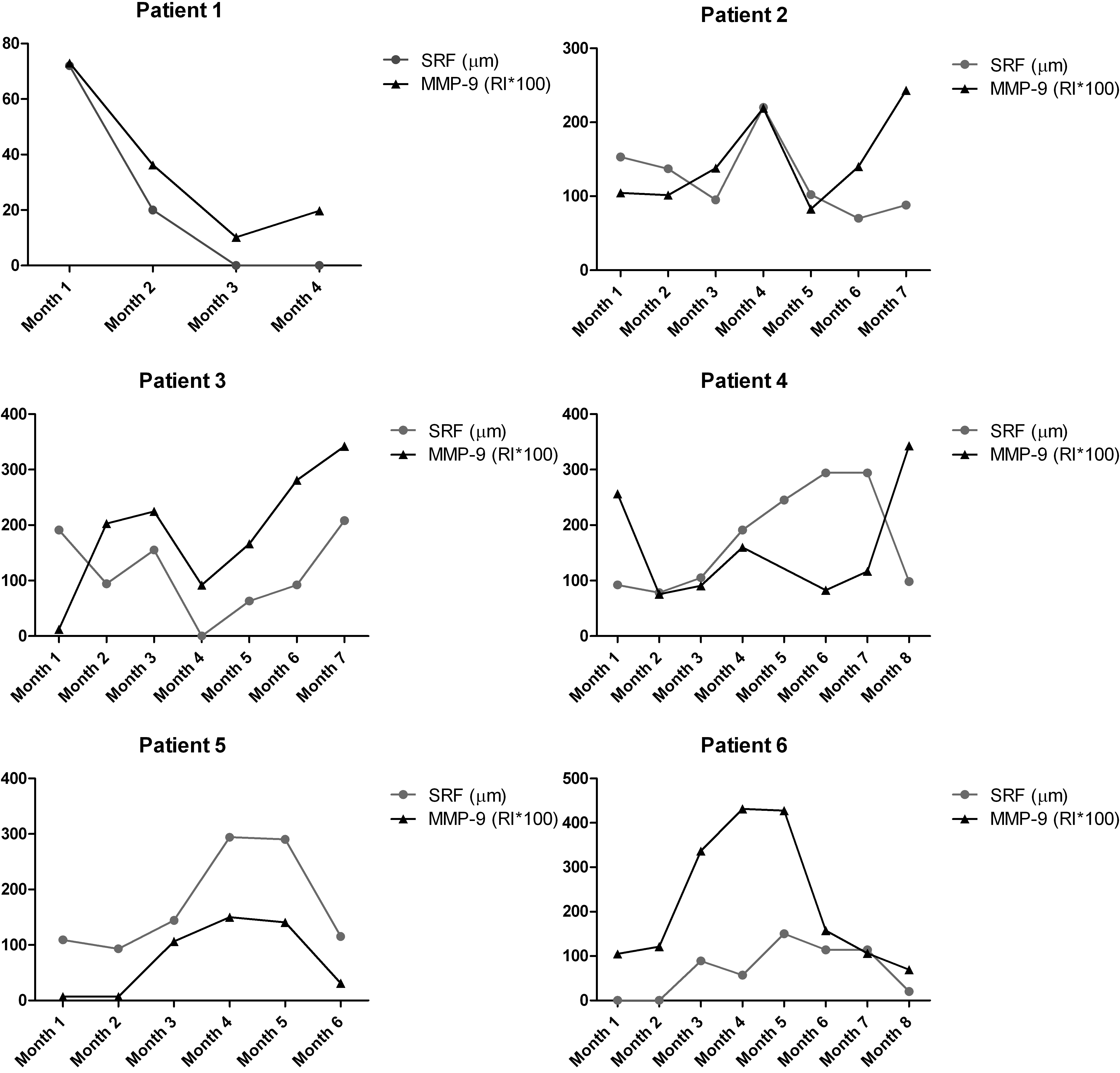
Figure 4. Matrix metalloproteinase 9
(MMP-9) tracks patient subretinal fluid (SRF) levels. The MMP-9
and SRF levels for patients 1–6 are plotted for each patient
treatment visit. These graphs demonstrate how MMP-9 expression
levels in the vitreous track the rise and fall of SRF in each
patient over time.
