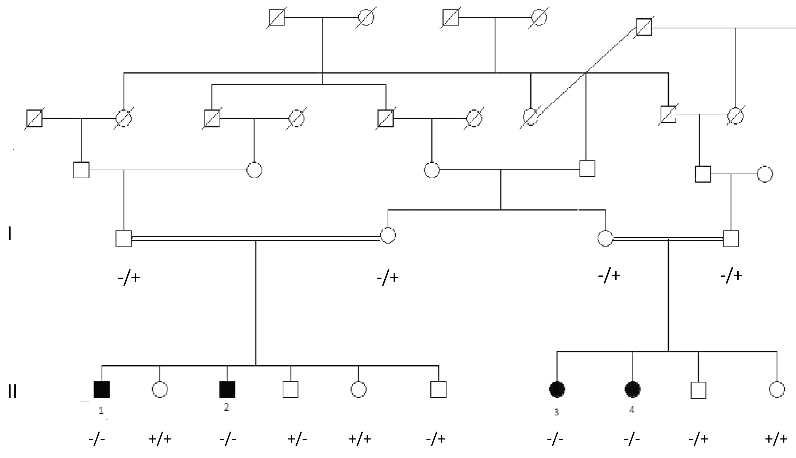
Figure 1 of Zhou, Mol Vis 2012; 18:1379-1383.


Figure 1. Pedigree of Hutterite families. MYO7A mutation c.57C>T (-), normal allele (+).