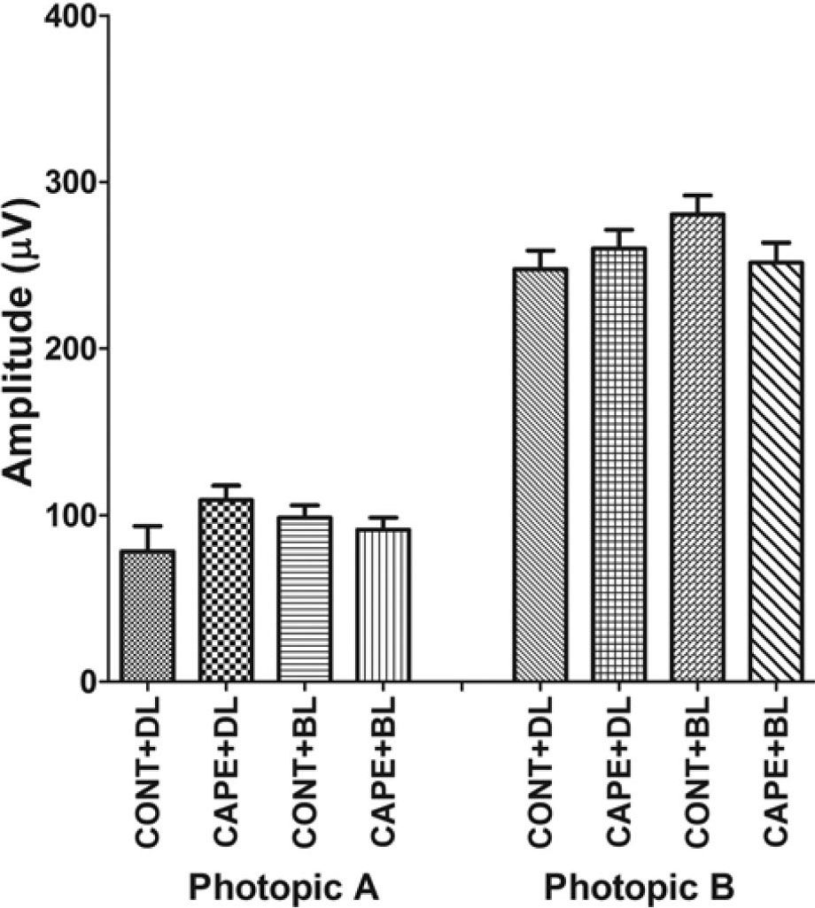
Figure 7. Cone photoreceptor function was measured by electroretinography (ERG) after eight weeks of feeding with control and caffeic
acid phenethyl ester (CAPE) diet. Cone photoreceptor function was measured with single-flash photopic ERG with a flash stimulus
of 3.7 log cd.s/m2 that was presented to dilated, light-adapted (5 min at 2.0 log cd.s/m2) rats. There is no significant difference (n=12/group) observed in cone function among the rats fed with CAPE and reared
in different light conditions. Cont+DL: control diet under cyclic dim light; CAPE+DL: CAPE diet under cyclic dim light; Cont+BL:
control diet under cyclic bright light; CAPE+BL: CAPE diet under cyclic bright light.
