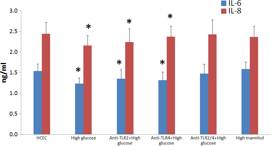
Figure 4. The results of ELISA showed the release of IL-6 and IL-8 from HCEC under high glucose and high mannitol stimulation with and
without TLR2 and TLR4 monoclonal antibody (1:200). The untreated HCEC is regarded as control. Data are the mean±SEM of triplicates
from an experiment that was repeated three times with similar results. *represent a p<0.05 versus control.
