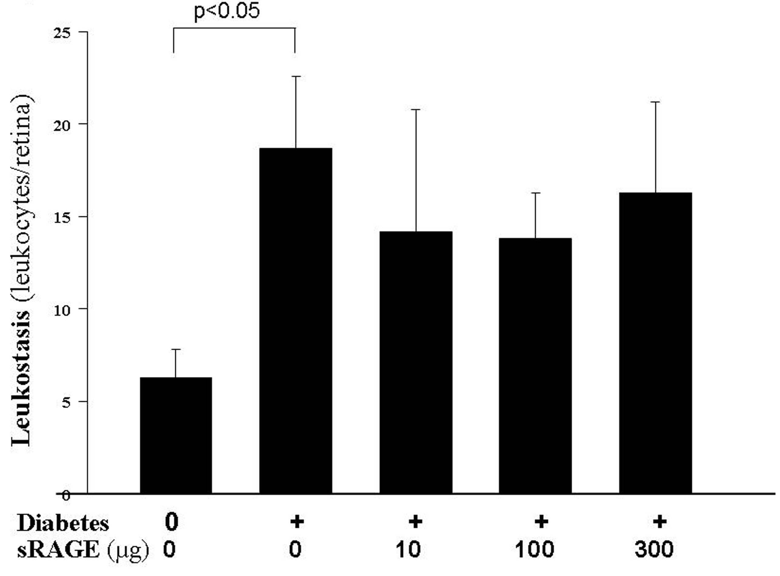
Figure 3. RAGE inhibition does not
inhibit leukostasis in the retinal vasculature. Diabetes (after
months’ duration) significantly increased the adherence of
leukocytes to the retinal vasculature, and the RAGE-Ig fusion
protein tended to inhibit this increase, but the extent of
inhibition was not statistically significant at any dose. n=6–10
in all groups.
