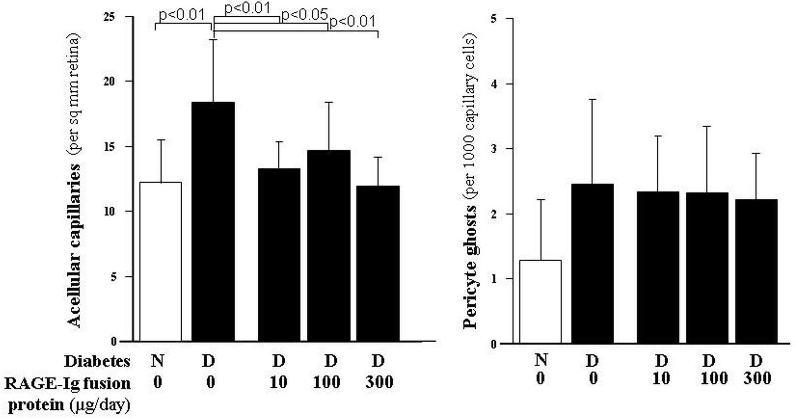
Figure 1. Administration of the
RAGE-immunoglobulin fusion protein for 10 months inhibited the
diabetes-induced increase in degenerate, acellular capillaries.
The inhibitor was administered at three doses, 10, 100, 300
µg/day, for the entire duration of the study. Pericyte loss (as
indicated by ghosts where the pericytes used to be) also
tended to be increased by diabetes, but the inhibitor did not
significantly reduce their formation. All groups contained at
least ten animals.
