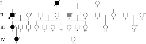
Figure 1. Pedigree of the proband’s family with Schnyder corneal dystrophy. Black symbols, gray symbols, and unfilled symbols represent
individuals of affected members, indeterminate phenotype, and unaffected members, respectively. Question marks indicate individuals
of unknown affected status, and arrow indicates the proband. Asterisks indicate individuals in whom DNA analysis were performed.
Deceased family member was denoted by slash.
