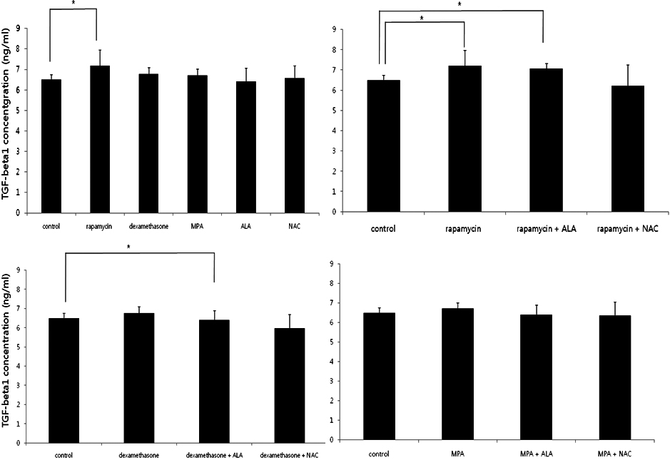
Figure 6 of Yi, Mol Vis 2011; 17:2665-2671.


Figure 6. TGF-β1 levels measured by ELISA. TGF-β1 levels were elevated in rapamycin group, rapamycin + ALA group.