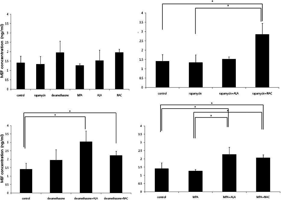
Figure 5. MIF levels measured by ELISA. MIF levels were not different in treatment with each drug (Top left). MIF levels increased in
MLKR treated with the combination of immunosuppressants and antioxidants except for the combination of rapamycin and ALA.
