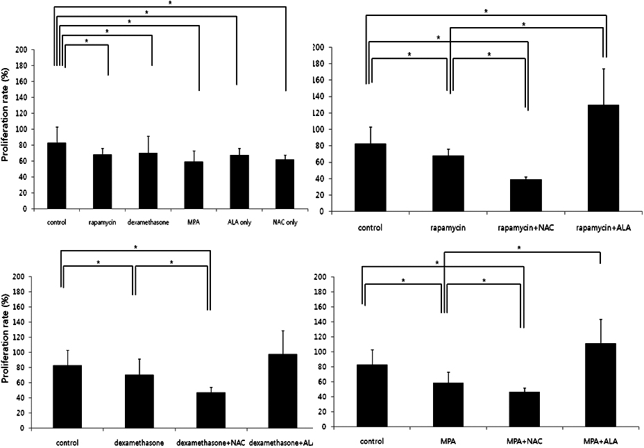
Figure 2. PBMC stimulation test. NaOH-treated human keratocytes served as the stimulators. Anti-oxidants as well as immunosuppressants
suppressed the PBMC proliferation (Top left). The combination of immunosuppressants and NAC was more effective in suppression
of PBMC proliferation while the combination of immunosuppressants and ALA increased PBMC proliferation except for dexamethasone.
