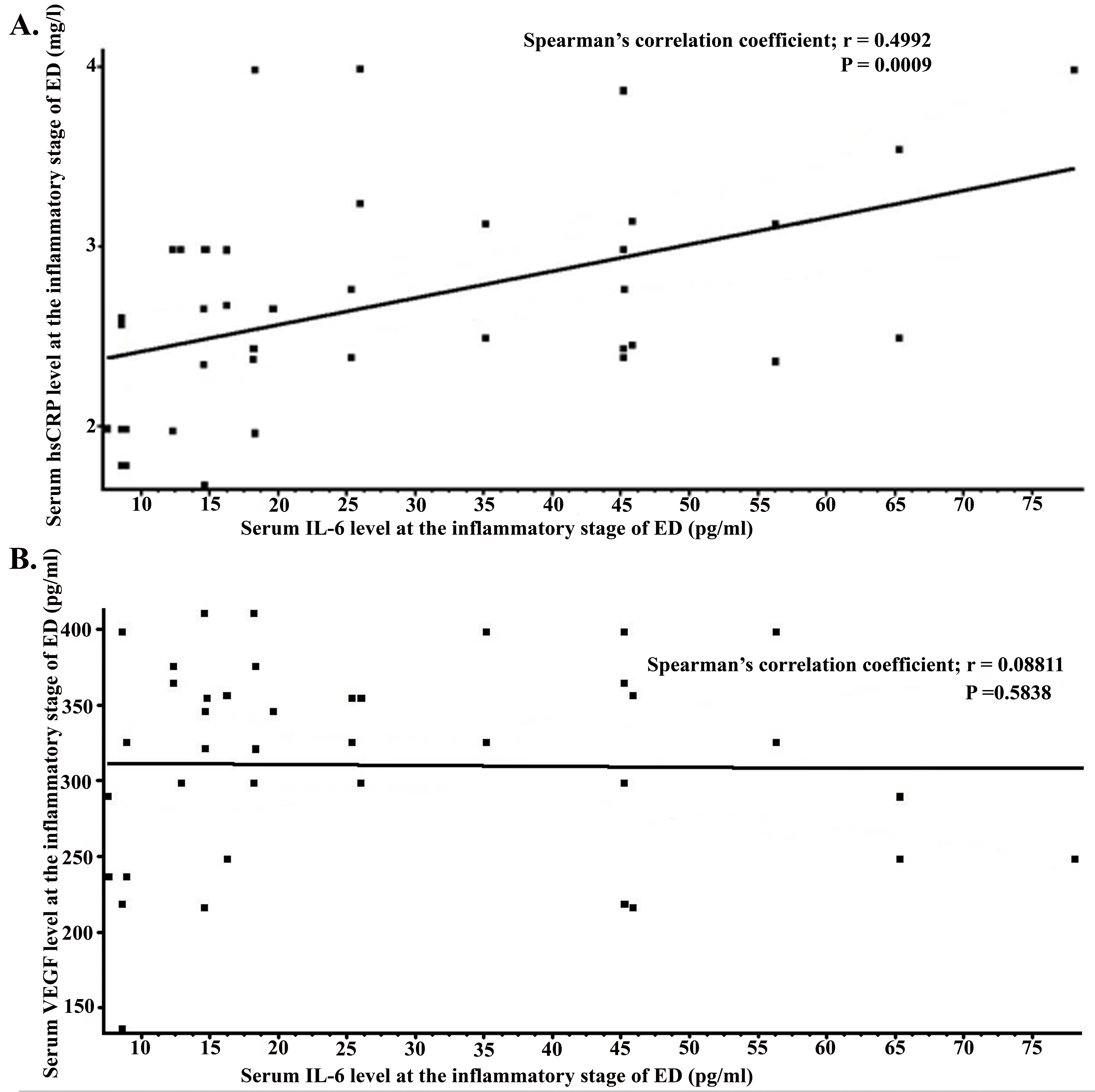
Figure 1. Relation between
interleukin (IL)-6 and high-sensitivity C-reactive protein
(hsCRP) or vascular endothelial growth factors (VEGF) in the
inflammatory stage of Eale’s disease (ED). A: The
correlation between the serum levels of interleukin-6 (IL-6) and
high-sensitivity C-reactive protein (hsCRP) from 41 patients
with Eales’ disease (ED) at the inflammatory stage. The IL-6
levels in serum correlated significantly with serum hsCRP levels
(Spearman’s correlation coefficient; r=0.4992, p=0.0009). The
solid line represents the linear regression curve of the best
fit. B: The correlation between the serum levels of IL-6
and vascular endothelial growth factor (VEGF) from 41 patients
with ED at the inflammatory stage. No significant relation was
seen between serum IL-6 levels and serum VEGF levels in the
inflammatory stage (Spearman’s correlation coefficient;
r=0.08811, p=0.5838). The solid line represents the linear
regression curve of the best fit.
