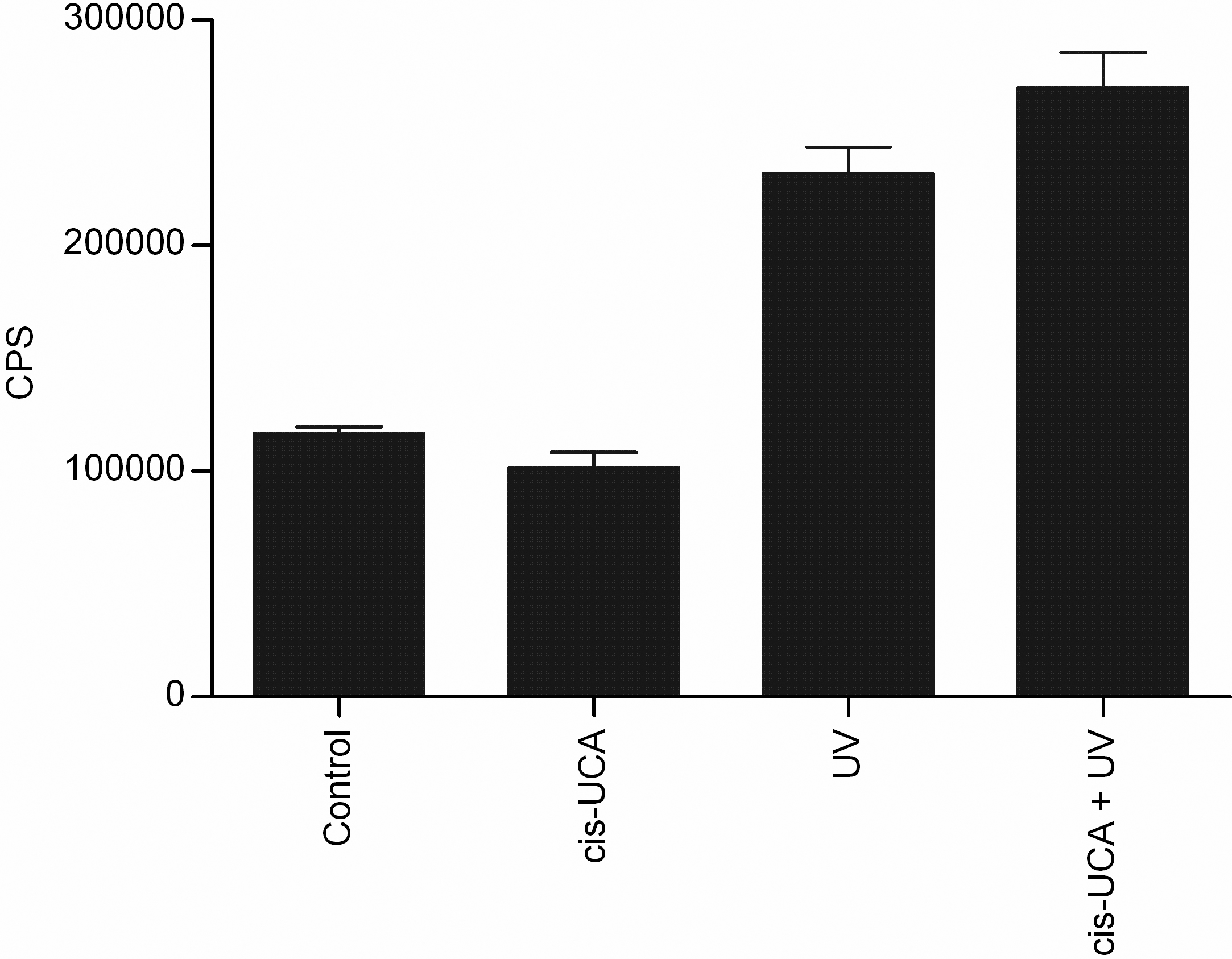
Figure 2. Binding of NF-κB (p65) to
DNA 6 h after stimulation. Results are presented as mean counts
per second (CPS) ±SEM cis-UCA concentration was 100 µg/ml. Five
parallel samples were measured in control and cis-UCA, and seven
parallel samples in UV and cis-UCA + UV treatments.
