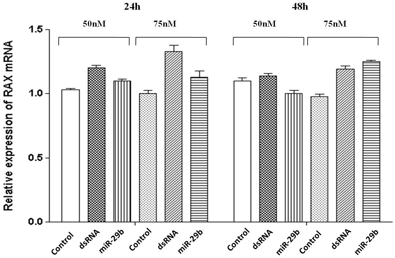
Figure 8. PKR associated protein X (RAX) mRNA expression in the presence of a microRNA-29b mimic. The expression of RAX mRNA was evaluated by qRT–PCR in CJ4 cells transfected with an miR-29b mimic or dsRNA (negative control) at a concentration of 50 or 75 nM, 24 h (A) and 48 h (B) after transfection. Nontransfected CJ4 cells were used as a control. Data are means±standard error of the mean from three
independent experiments, each containing three replicates.
