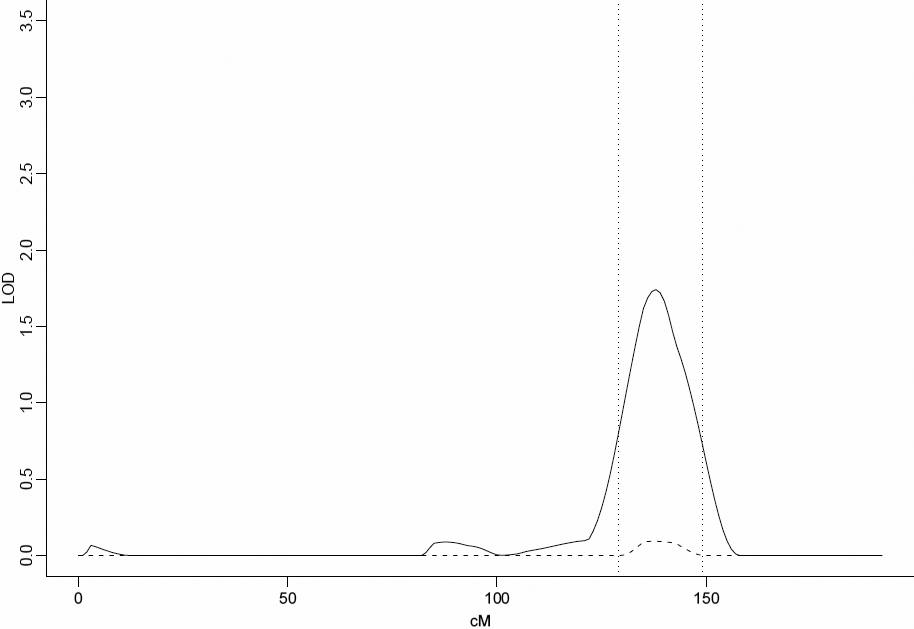
Figure 4. Nonparametric LOD score plot for chromosome 6. LOD scores for the overall sample (n=63 [dashed line]) and the subset with
maximum NPL score between 12.2 and −0.3 (n=36 [solid line]) are presented. The 1-LOD-unit down support interval (129–149 cM)
is marked by the dotted vertical line.
