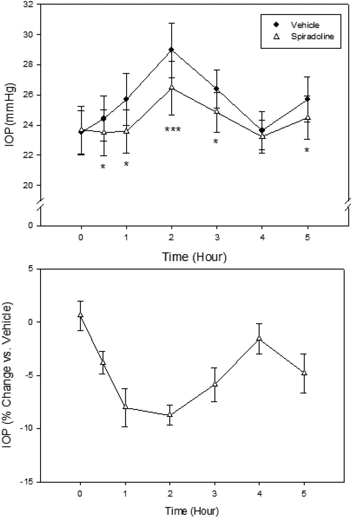
Figure 7. Effect of spiradoline (0.3%, 30
µl) on IOP of conscious Tibetan monkeys. The drug was administered
topically at 10 AM (Time 0) onto a randomly assigned eye of each
animal, while the contralateral eye received vehicle as control Error
bars represent SEM (n=6). Top Panel: IOP values of both groups.
*p<0.05, ***p<0.001 between the two treatment groups by
two-tailed paired Student's t-test. Bottom panel: % IOP change
of the spiradoline group relative to the vehicle control group.
