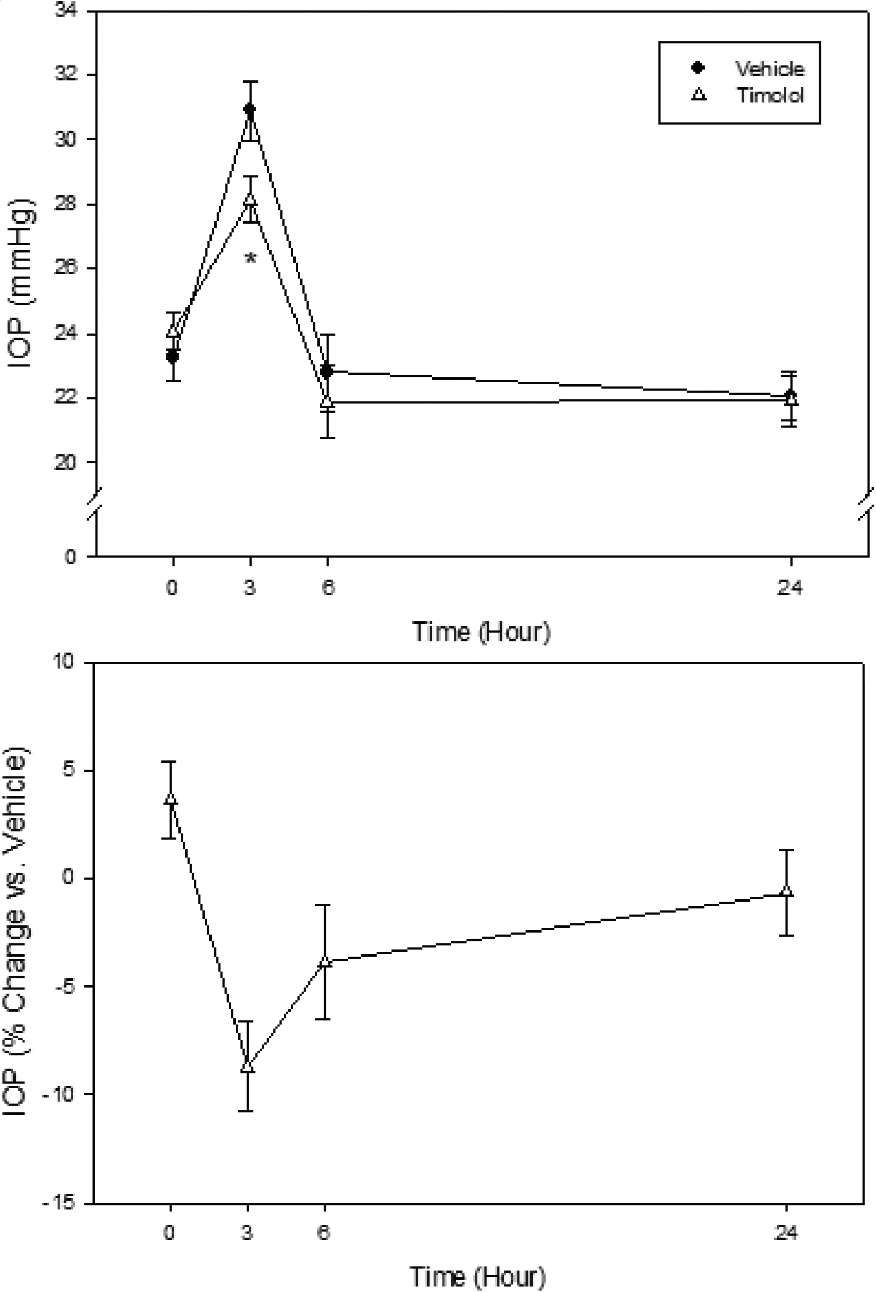
Figure 5. Effect of timolol (0.5%, 30 μl)
on IOP of conscious Tibetan monkeys. The drug was administered
topically at 9 AM (Time 0) onto a randomly assigned eye of each animal,
while the contralateral eye received vehicle as control. IOP was
monitored at 3, 6, and 24 h later. Error bars represent SEM (n=6). Top
Panel: IOP values of both groups. *p<0.05 between the two treatment
groups by two-tailed paired Student's t-test. Bottom panel: %
IOP change of the timolol group relative to the vehicle control group.
