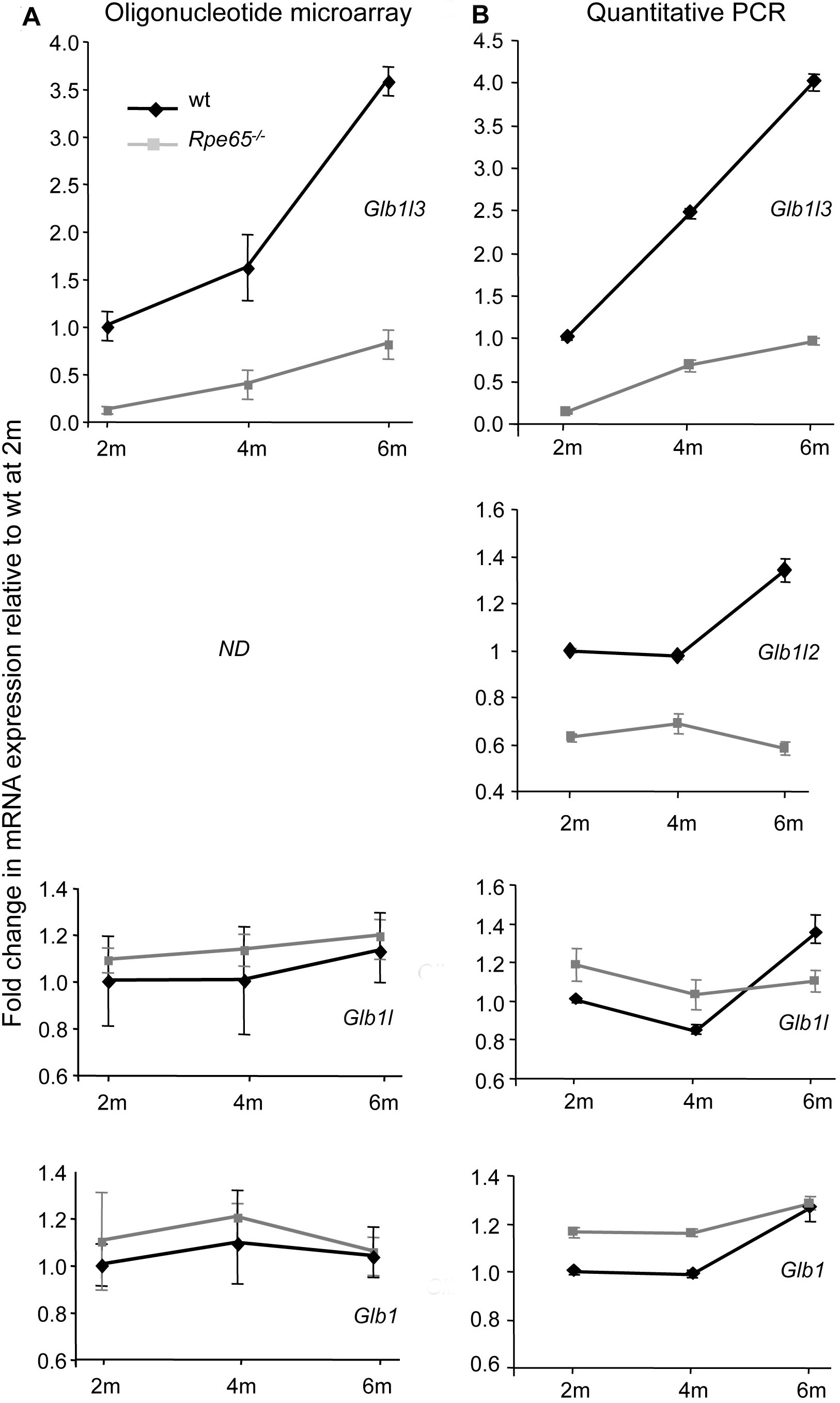
Figure 1. Transcriptional alteration of
β-galactosidase (Glb)-related members in Rpe65−/−
retinas. A: mRNA expression from wild-type (wt, black diamonds)
and Rpe65−/− retinas (gray squares) was assessed at
2, 4 and 6 months of age (2–6 m) by oligonucleotide microarray. B:
Retinal
mRNA expression was validated by real-time PCR. Relative mRNA
levels were expressed as fold inductions relative to samples from
2-month-old WT mice arbitrarily set to 1. Downregulated mRNA expression
in diseased retinas at all ages was specific to Glb1l3 (p<0.001 by
two-way ANOVA (ANOVA) for Rpe65−/− versus WT), and
to a less extent to Glb1l2 (p<0.05 by two-way ANOVA for Rpe65−/−
versus WT), while expression of the other Glb-related members remained
unaltered. Data are the mean±standard error of the mean (SEM) of 3 (A)
and
4 (B) independent animals. ND: not described; the Glb1l2
gene was not present in the Affymetrix Mouse Genome 430.2 Genechip.
