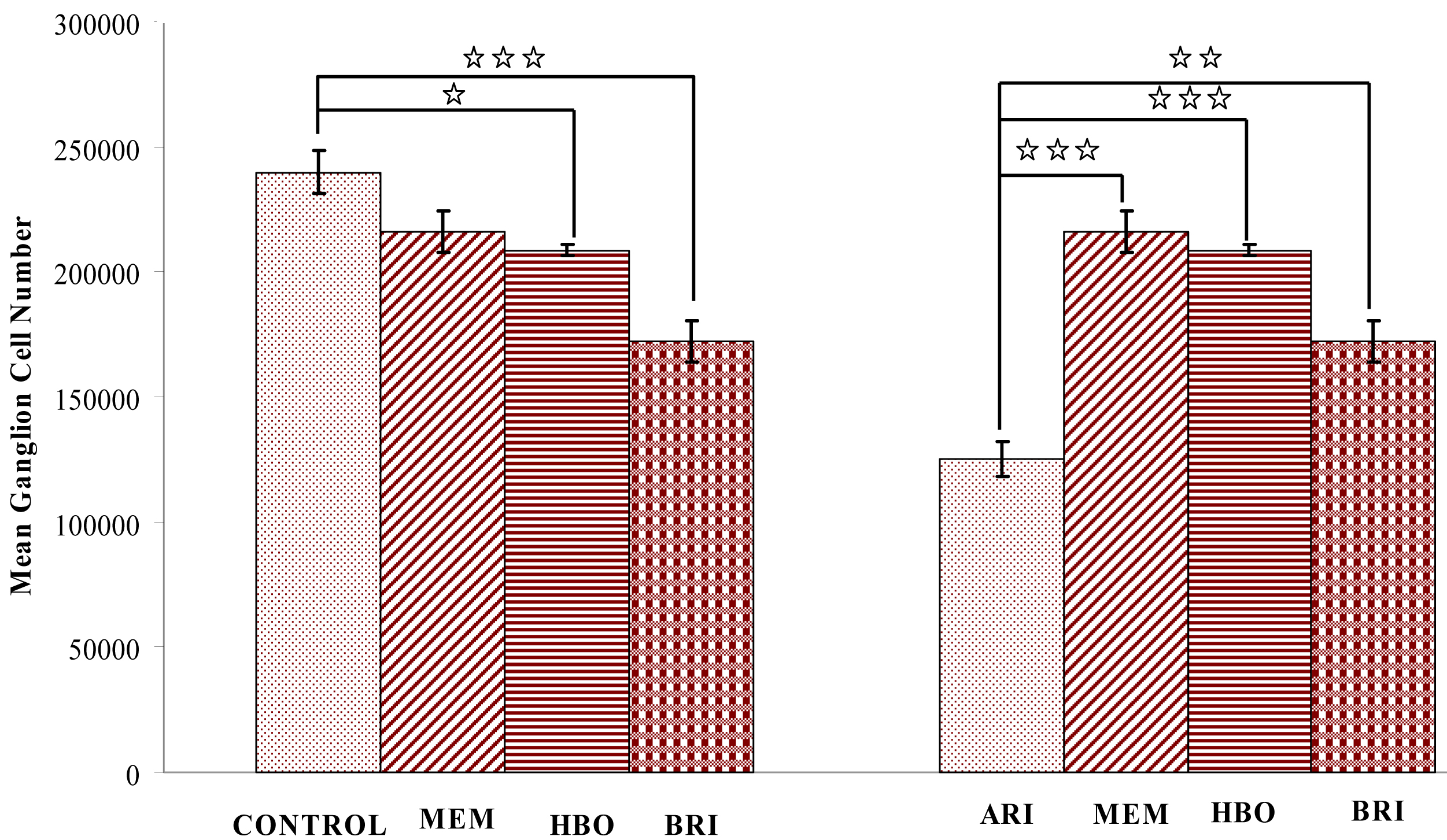
Figure 1. Morphometric analysis of the rat
retina shows surviving cells in ganglion cell layer. Left side panel of
graph compares to control and treatment groups. There were significant
decreases for the surviving cell number of ganglion cell layer in
hyperbaric oxygen (HBO) therapy, and brimonidine (BRI) treatment
groups. *** p<0.001, *p<0.05. The data showed no significant
differences (p<0.05) between the memantine (MEM) treated and control
groups. Right side panel of graph compares to the acute retinal
ischemia (ARI) and treatment groups. There were significant decreases
for the surviving cell number of ganglion cell layer in all treated
groups. **p<0.01 and ***p<0.001.
