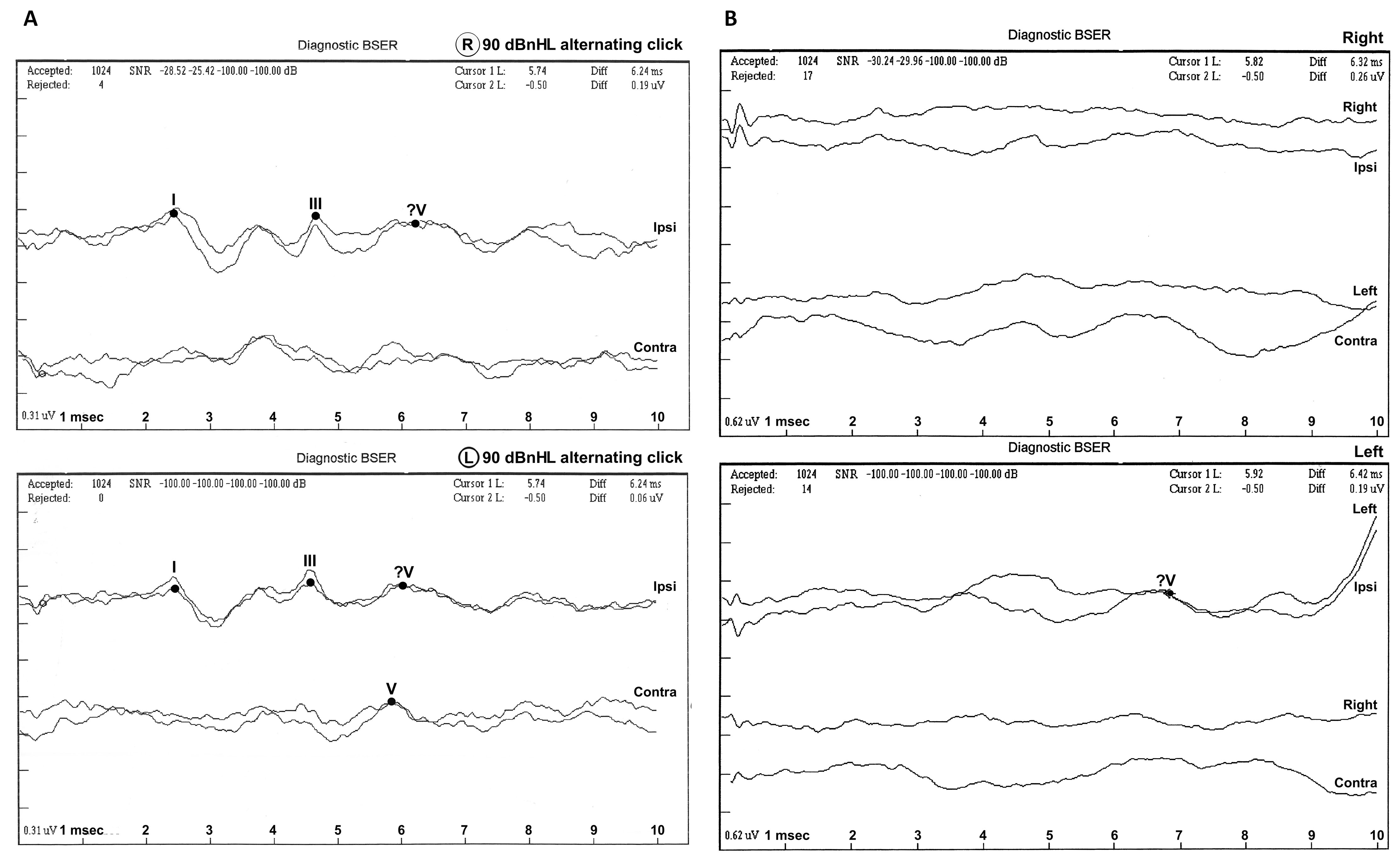
Figure 10. Auditory brainstem-evoked
responses. A: Auditory brainstem-evoked responses for patient
IV:1 (right ear upper section and left ear lower section). B:
Auditory brainstem-evoked responses for patient IV:2 (right ear upper
section and left ear lower section). In patient IV:1 the responses were
of poor morphology ipsilaterally. Recording contralaterally,
stimulating the left ear the response morphology was markedly abnormal
and stimulating the right ear the response was absent. In patient IV:2
all responses were absent. Abbreviations: ipsi represents ipsilateral
recording; contra represents contralateral.
