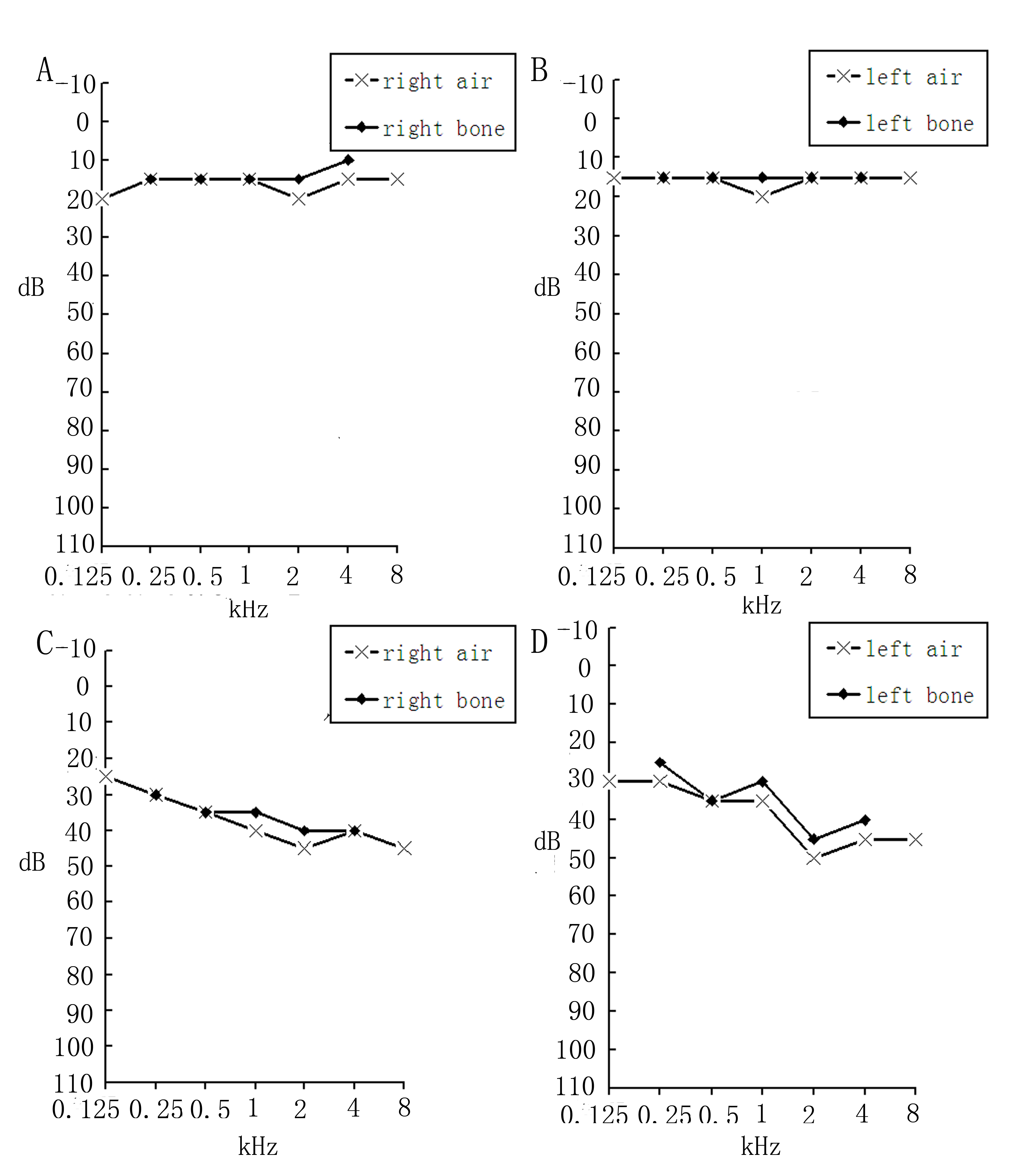
Figure 3 of Liu, Mol Vis 2010; 16:454-461.


Figure 3. Audiometry results for III:5 and IV:1. A and B show the result for IV:1 who is normal, C and D show mild hearing loss for III:5.