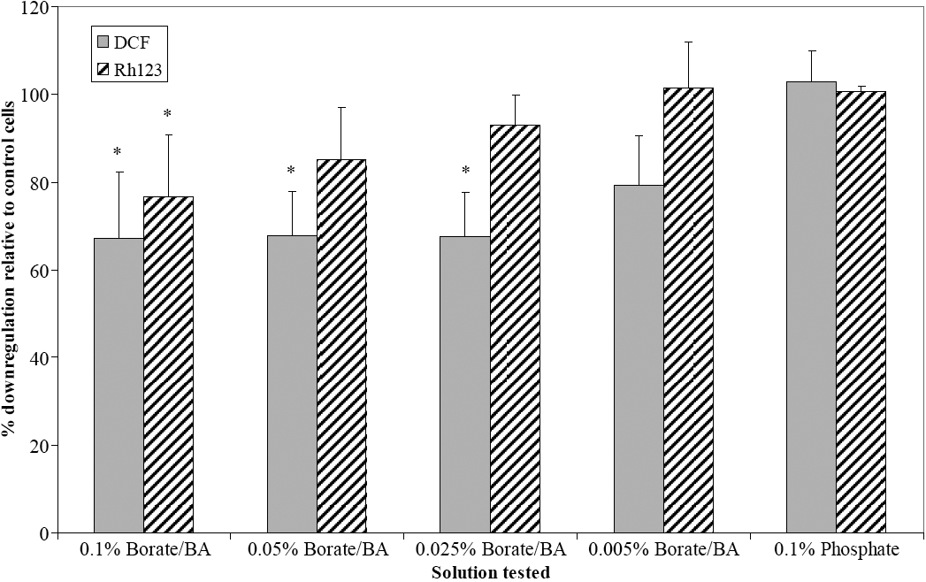
Figure 5. Effect of borate/boric acid on reactive oxygen species production and mitochondrial permeability. Cells were incubated for
24 h with different concentration of Unisol, a saline solution containing borate/boric acid. Reactive oxygen species (ROS)
was measured with dichlorohydrofluorescein diacetate and mitochondrial permeability was assessed with Rh123. Results are expressed
as a percentage relative to cells grown in the absence of a solution (control); n=3–4. The asterisk indicates significant
difference from control, p<0.01.
