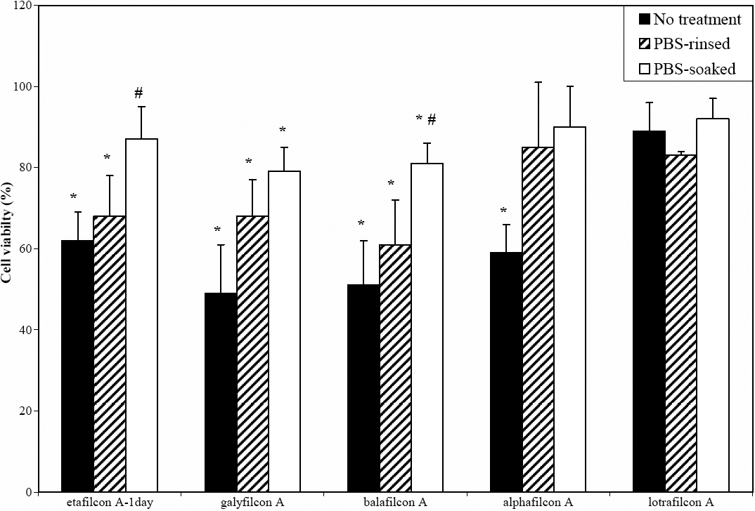
Figure 3. Effect of PBS rinse or soak on
viability of corneal epithelial cells exposed to contact lenses. Prior
to the cell experiment, contact lenses were rinsed three times in
sterile PBS (PBS-rinsed) or soaked in PBS for 24 h (PBS-soaked) under
sterile conditions. Although lotrafilcon A lens packaging solution is
based on phosphate buffer, lotrafilcon A was also submitted to similar
PBS treatments for controls. Viability was measured by
3-(4,5-Dimethylthiazol-2-yl)-2,5-diphenyltetrazolium bromide (MTT)
assay and expressed as a percentage relative to cells grown in the
absence of a contact lens (control); n=3–5. The asterisk indicates
significant difference from cells grown in the absence of a lens
(p<0.005). The sharp symbol (hash mark) indicates significant
difference from the PBS-rinsed lens, p<0.005.
